📚 āĻŦāĻžā§œāĻŋāϰ āĻ•āĻžāĻœā§‡āϰ āϤāĻžāϞāĻŋāĻ•āĻž
â™ģī¸ āϰāĻŋāϏ⧇āϟ
📌 āύāϤ⧁āύ āĻŦāĻžā§œāĻŋāϰ āĻ•āĻžāϜ
āύāĻĻā§€ āύ⧌āĻ•āĻž āϏāĻŽā§āĻĒāĻ°ā§āĻ•āĻŋāϤ āĻ—āĻžāĻŖāĻŋāϤāĻŋāĻ• āϏāĻŽāĻ¸ā§āϝāĻž
āĻĒāĻĻāĻžāĻ°ā§āĻĨāĻŦāĻŋāĻœā§āĻžāĻžāύ āĻĒā§āϰāĻĨāĻŽ āĻĒāĻ¤ā§āϰ ā§ĒāĻ°ā§āĻĨ āĻ…āĻ§ā§āϝāĻžā§Ÿ ( āϘāĻ°ā§āώāĻŖ āĻ“ āϘāĻžāϤ āĻŦāϞ āϏāĻŽā§āĻĒāĻ°ā§āĻ•āĻŋāϤ āĻŦāĻžā§œāĻŋāϰ āĻ•āĻžāϜ )
āĻŦāĻžāχāύāĻžāϰāĻŋ, āĻ…āĻ•ā§āϟāĻžāϞ āĻ“ āĻĄā§‡āϏāĻŋāĻŽā§‡āϞ āĻĨ⧇āϕ⧇ āĻĻāĻļāĻŽāĻŋāϕ⧇ āϰ⧁āĻĒāĻžāĻ¨ā§āϤāϰ āĻ“ āĻĒāĻžāĻ°ā§āĻĨāĻ•ā§āϝ āύāĻŋāĻ°ā§āϪ⧟
āĻ“ā§Ÿā§‡āĻŦ āĻ•āĻžāĻ āĻžāĻŽā§‹ āϏāĻŽā§āĻĒāĻ°ā§āĻ•āĻŋāϤ āϏ⧃āϜāύāĻļā§€āϞ āĻ…āĻ‚āĻļ⧇āϰ āĻŦāĻžā§œāĻŋāϰ āĻ•āĻžāϜ
āϰ⧋āϧ, āĻĒāϰāĻŋāĻŦāĻžāĻšāĻŋāϤāĻž āĻ“ āϤāĻžāĻĒāĻŽāĻžāĻ¤ā§āϰāĻžāϰ āĻĒā§āϰāĻ­āĻžāĻŦ ā§Šā§ĻāϟāĻŋ āωāĻ¨ā§āύāϤ āĻŽāĻžāύ⧇āϰ āĻ—āĻžāĻŖāĻŋāϤāĻŋāĻ• āĻĒā§āϰāĻļā§āύ
āϤāĻĨā§āϝ āĻ“ āϝ⧇āĻžāĻ—āĻžāϝ⧋āĻ— āĻĒā§āϰāϝ⧁āĻ•ā§āϤāĻŋ ( ā§ĢāĻŽ āĻ…āĻ§ā§āϝāĻžā§Ÿā§‡āϰ āϗ⧁āϰ⧁āĻ¤ā§āĻŦāĻĒā§‚āĻ°ā§āĻŖ āϏ⧃āϜāύāĻļā§€āϞ)
📘
āϏāĻŋ āĻĒā§āϰ⧋āĻ—ā§āϰāĻžāĻŽā§‡āϰ āĻĢā§āϞ⧋āϚāĻžāĻ°ā§āϟ āĻ…āĻ™ā§āĻ•āύ⧇āϰ āϜāĻ¨ā§āϝ āĻĒā§āϰāĻļā§āύāĻžāĻŦāϞ⧀
āϤāĻĨā§āϝ āĻ“ āϝ⧇āĻžāĻ—āĻžāϝ⧇āĻžāĻ— āĻĒā§āϰāϝ⧁āĻ•ā§āϤāĻŋ ā§ĢāĻŽ āĻ…āĻ§ā§āϝāĻžā§Ÿā§‡āϰ āĻŦāĻžā§œāĻŋāϰ āĻ•āĻžāϜ
26 Dec, 2025

āύāĻĻā§€ āύ⧌āĻ•āĻž āϏāĻŽā§āĻĒāĻ°ā§āĻ•āĻŋāϤ āĻ—āĻžāĻŖāĻŋāϤāĻŋāĻ• āϏāĻŽāĻ¸ā§āϝāĻž

đŸˇī¸ āĻŦāĻŋāώ⧟: āĻĒāĻĻāĻžāĻ°ā§āĻĨāĻŦāĻŋāĻœā§āĻžāĻžāύ ā§§āĻŽ āĻĒāĻ¤ā§āϰ 🎓 āĻļā§āϰ⧇āĻŖā§€: — 📅 āĻļ⧇āώ āϤāĻžāϰāĻŋāĻ–: 2025-12-26

🧭 āύāĻĻā§€āϤ⧇āύ⧌āĻ•āĻžāϰ āĻ—āϤāĻŋāĻ“ āϭ⧇āĻ•ā§āϟāϰāϏāĻŽā§āĻĒāĻ°ā§āĻ•āĻŋāϤ ā§Šā§ĻāϟāĻŋāĻ…āύ⧁āĻļā§€āϞāύāĻŽā§‚āϞāĻ• āĻĒā§āϰāĻļā§āύ

🔹 Set–1: āĻŽā§ŒāϞāĻŋāĻ•āϏ⧂āĻ¤ā§āϰāĻ­āĻŋāĻ¤ā§āϤāĻŋāĻ• āĻĒā§āϰāĻļā§āύ

  1. āĻāĻ•āϟāĻŋ āύāĻĻā§€āϰāĻĒā§āϰāĻ¸ā§āĻĨ 200 āĻŽāĻŋāĨ¤āύāĻĻā§€āϰ āĻ¸ā§āϰ⧋āϤ⧇āϰ āĻŦ⧇āĻ— 4 km/h  āĻāĻŦāĻ‚ āύ⧌āĻ•āĻžāϰ āĻŦ⧇āĻ— 8 km/h  āĻšāϞ⧇, āύāĻĻā§€āĻĒāĻžāϰ āĻšāϤ⧇ āĻ•āϤāϏāĻŽā§Ÿ āϞāĻžāĻ—āĻŦ⧇?
  2. āύ⧌āĻ•āĻž āϝāĻĻāĻŋāύāĻĻā§€āϰ āĻŦāĻŋāĻĒāϰ⧀āϤ āĻĒāĻžāϰ⧇āĻĒ⧌āρāĻ›āĻžāϤ⧇ āϚāĻžā§Ÿ,  āϤāĻŦ⧇ āĻ¸ā§āϰ⧋āϤ⧇āϰ āĻŦāĻŋāĻĒāϰ⧀āϤ⧇āĻ•āϤ āϕ⧋āϪ⧇ āϚāĻžāϞāĻžāϤ⧇āĻšāĻŦ⧇ (u=3 km/h, v=5 km/h)?
  3. āύāĻĻā§€ āĻĒāĻžāϰāĻšāĻ“ā§ŸāĻžāϰ āϏāĻŽā§Ÿ āϝāĻĻāĻŋāĻ¸ā§āϰ⧋āϤ 2 km/h āĻ“āύ⧌āĻ•āĻžāϰ āĻŦ⧇āĻ— 10 km/h āĻšā§Ÿ, āϤāĻŦ⧇āĻĒā§āϰāĻ•ā§ƒāϤ āĻŦ⧇āĻ— āĻ•āϤ?
  4. āĻāĻ•āϟāĻŋ āύ⧌āĻ•āĻžāĻ¸ā§āϰ⧋āϤ⧇āϰ āĻĻāĻŋāϕ⧇ 15 km/h āĻāĻŦāĻ‚ āĻŦāĻŋāĻĒāϰ⧀āϤ⧇ 5 km/h āĻŦ⧇āϗ⧇āϚāϞ⧇āĨ¤ āύāĻĻā§€āϰ āĻ¸ā§āϰ⧋āϤ⧇āϰāĻŦ⧇āĻ— āĻ“ āĻ¸ā§āĻĨāĻŋāϰāĻĒāĻžāύāĻŋāϤ⧇ āύ⧌āĻ•āĻžāϰ āĻŦ⧇āĻ—āύāĻŋāĻ°ā§āϪ⧟ āĻ•āϰ⧋āĨ¤
  5. āύ⧌āĻ•āĻžāϰ āĻ—āϤāĻŋāĻ“ āύāĻĻā§€āϰ āĻ¸ā§āϰ⧋āϤ⧇āϰāĻŦ⧇āϗ⧇āϰ āĻŽāĻ§ā§āϝ⧇ āϕ⧋āĻŖ 60° āĻšāϞ⧇, āĻĒā§āϰāĻ•ā§ƒāϤāĻ—āϤāĻŋ āύāĻŋāĻ°ā§āϪ⧟ āĻ•āϰ⧋ (v=12 km/h, u=6 km/h)āĨ¤

🔹 Set–2: āϕ⧋āĻŖāύāĻŋāĻ°ā§āϪ⧟ āϏāĻ‚āĻ•ā§āϰāĻžāĻ¨ā§āϤāĻĒā§āϰāĻļā§āύ

  1. āύāĻĻā§€āϰ āĻ¸ā§āϰ⧋āϤ⧇āϰāĻŦ⧇āĻ— 5 km/h āĻāĻŦāĻ‚āύ⧌āĻ•āĻžāϰ āĻŦ⧇āĻ— 10 km/h āĻšāϞ⧇, āύ⧌āĻ•āĻžāϕ⧇āϕ⧋āύ āϕ⧋āϪ⧇ āϚāĻžāϞāĻžāϞ⧇āϏāϰāĻžāϏāϰāĻŋ āĻŦāĻŋāĻĒāϰ⧀āϤ āĻĒāĻžāϰ⧇āĻĒ⧌āρāĻ›āĻžāĻŦ⧇?
  2. āύ⧌āĻ•āĻžāϰ āĻŦ⧇āĻ— 12 km/h āĻ“ āύāĻĻā§€āϰ āĻ¸ā§āϰ⧋āϤ⧇āϰāĻŦ⧇āĻ— 6 km/h āĻšāϞ⧇, āϕ⧋āĻŖ Îą āύāĻŋāĻ°ā§āϪ⧟āĻ•āϰ⧋ āϝāĻžāϤ⧇ āύāĻĻā§€āĻĒāĻžāϰ āĻšāĻ“ā§ŸāĻžāϰ āϏāĻŽā§ŸāĻ¨ā§āϝ⧂āύāϤāĻŽ āĻšā§ŸāĨ¤
  3. u=4,v=8 āĻšāϞ⧇, āύ⧌āĻ•āĻžāϰ āĻĻāĻŋāĻ• āĻ“āĻ¸ā§āϰ⧋āϤ⧇āϰ āĻŽāĻ§ā§āϝāĻŦāĻ°ā§āϤ⧀ āϕ⧋āĻŖāĻ•āϤ?
  4. āύāĻĻā§€āϰ āĻ¸ā§āϰ⧋āϤ⧇āϰāĻŦ⧇āĻ— āύ⧌āĻ•āĻžāϰ āĻŦ⧇āϗ⧇āϰāĻ…āĻ°ā§āϧ⧇āĻ• āĻšāϞ⧇,  āϕ⧋āĻŖ Îą āĻ•āϤāĻšāĻŦ⧇ āϝāĻžāϤ⧇ āύ⧌āĻ•āĻžāϏ⧋āϜāĻž āĻŦāĻŋāĻĒāϰ⧀āϤ āĻĒāĻžāϰ⧇āĻĒ⧌āρāĻ›āĻžā§Ÿ?
  5. āύ⧌āĻ•āĻžāϰ āĻŦ⧇āĻ—āύāĻĻā§€āϰ āĻ¸ā§āϰ⧋āϤ⧇āϰ āĻĻā§āĻŦāĻŋāϗ⧁āĻŖāĻšāϞ⧇, Îą āϕ⧋āĻŖāύāĻŋāĻ°ā§āϪ⧟ āĻ•āϰ⧋āĨ¤

🔹 Set–3: āϏāĻŽā§ŸāύāĻŋāĻ°ā§āϪ⧟ āϏāĻ‚āĻ•ā§āϰāĻžāĻ¨ā§āϤāĻĒā§āϰāĻļā§āύ

  1. āύāĻĻā§€āϰ āĻĒā§āϰāĻ¸ā§āĻĨ 100 āĻŽāĻŋ, āύ⧌āĻ•āĻžāϰāĻŦ⧇āĻ— 5 m/s, āĻ¸ā§āϰ⧋āϤ⧇āϰāĻŦ⧇āĻ— 3 m/s — āύāĻĻā§€āĻĒāĻžāϰ āĻšāϤ⧇ āϏāĻŽā§ŸāĻ•āϤ?
  2. āϝāĻĻāĻŋ āύ⧌āĻ•āĻž 60° āϕ⧋āϪ⧇ āϚāĻžāϞāĻžāύ⧋ āĻšā§Ÿ, v=12km/h,u=6km/hv=12 km/h, u=6 km/hv=12km/h,u=6km/h, āϤāĻŦ⧇ āύāĻĻā§€āĻĒāĻžāϰ āĻšāϤ⧇ āϏāĻŽā§ŸāĻ•āϤ āϞāĻžāĻ—āĻŦ⧇ (d=2 km)?
  3. āĻ¨ā§āϝ⧂āύāϤāĻŽ āϏāĻŽā§Ÿā§‡āϰāϜāĻ¨ā§āϝ āύāĻĻā§€ āĻĒāĻžāϰāĻšāϤ⧇ āĻšāϞ⧇ āϏāĻŽā§Ÿā§‡āϰāϏ⧂āĻ¤ā§āϰ āϕ⧀ āĻāĻŦāĻ‚ v=8,u=4,d=0.5v=8, u=4, d=0.5v=8,u=4,d=0.5 āĻšāϞ⧇ āϏāĻŽā§ŸāύāĻŋāĻ°ā§āϪ⧟ āĻ•āϰ⧋āĨ¤
  4. āύāĻĻā§€āϰ āĻ¸ā§āϰ⧋āϤ⧇āϰāĻŦāĻŋāĻĒāϰ⧀āϤ⧇ 10 km/h āĻāĻŦāĻ‚āĻ¸ā§āϰ⧋āϤ⧇āϰ āϏāĻ™ā§āϗ⧇ 15 km/h āĻŦ⧇āϗ⧇āύ⧌āĻ•āĻž āϚāϞ⧇āĨ¤ āύāĻĻā§€āϰāĻĒā§āϰāĻ¸ā§āĻĨ 2 km āĻšāϞ⧇, āĻĻ⧁āχ āĻĻāĻŋāĻ• āĻŽāĻŋāϞāĻŋā§Ÿā§‡āĻŽā§‹āϟ āϏāĻŽā§Ÿ āĻ•āϤ?
  5. āύ⧌āĻ•āĻžāϰ āĻ—āϤāĻŋ 9 km/h  āĻāĻŦāĻ‚ āĻ¸ā§āϰ⧋āϤ⧇āϰ āĻ—āϤāĻŋ 3 km/h  āĻšāϞ⧇, āύāĻĻā§€āϰāĻĒā§āϰāĻ¸ā§āĻĨ 1 km — āύ⧌āĻ•āĻžāĻŦāĻŋāĻĒāϰ⧀āϤ āĻĒāĻžāϰ⧇ āϝ⧇āϤ⧇āĻ•āϤ āϏāĻŽā§Ÿ āϞāĻžāĻ—āĻŦ⧇?

🔹 Set–4: āϭ⧇āĻ•ā§āϟāϰāϝ⧋āĻ— āĻ“āĻĢāϞāĻ• āĻŦ⧇āĻ—āϏāĻ‚āĻ•ā§āϰāĻžāĻ¨ā§āϤ āĻĒā§āϰāĻļā§āύ

  1. āĻĻ⧁āϟāĻŋ āĻŦāϞ 6 N āĻ“ 6 N 120° āϕ⧋āϪ⧇āĻ•ā§āϰāĻŋ⧟āĻžāĻļā§€āϞ āĻšāϞ⧇,  āϤāĻžāĻĻ⧇āϰ āϞāĻŦā§āϧāĻŋ āĻ•āϤ?
  2. āωāĻĒāϰ⧇āϰ āĻĒā§āϰāĻļā§āύ⧇āϞāĻŦā§āϧāĻŋāϰ āϏāĻ™ā§āϗ⧇ āĻĒā§āϰāĻĨāĻŽāĻŦāϞ⧇āϰ āϕ⧋āĻŖ āĻ•āϤ?
  3. āϝāĻĻāĻŋ āĻĻ⧁āϟāĻŋāϭ⧇āĻ•ā§āϟāϰ 8 N āĻ“ 5 N 60° āϕ⧋āϪ⧇ āĻ•ā§āϰāĻŋ⧟āĻžāĻļā§€āϞ āĻšā§Ÿ, āϞāĻŦā§āϧāĻŋ āĻ“ āϕ⧋āĻŖāύāĻŋāĻ°ā§āϪ⧟ āĻ•āϰ⧋āĨ¤
  4. P=10N,Q=6N,Îą=90°P=10N, Q=6N, \alpha=90°P=10N,Q=6N,Îą=90°  āĻšāϞ⧇ RRR āĻ“ θ\thetaθ āύāĻŋāĻ°ā§āϪ⧟ āĻ•āϰ⧋āĨ¤
  5. āĻĻ⧁āϟāĻŋ āĻŦāϞ 12 N āĻ“ 9 N 120° āϕ⧋āϪ⧇āĻ•ā§āϰāĻŋ⧟āĻžāĻļā§€āϞ, āϤāĻžāĻĻ⧇āϰāϞāĻŦā§āϧāĻŋ āĻ“ āĻĻāĻŋāĻ•āύāĻŋāĻ°ā§āϪ⧟ āĻ•āϰ⧋āĨ¤

🔹 Set–5: āĻŽāĻŋāĻļā§āϰāĻĒā§āϰāϝāĻŧā§‹āĻ—āĻŽā§‚āϞāĻ• āĻĒā§āϰāĻļā§āύ (Mixed Application Problems)

  1. āύāĻĻā§€āϰ āĻ¸ā§āϰ⧋āϤ⧇āϰāĻŦ⧇āĻ— 3 km/h āĻāĻŦāĻ‚āύ⧌āĻ•āĻžāϰ āĻŦ⧇āĻ— 12 km/h āĻšāϞ⧇, āύ⧌āĻ•āĻžāϕ⧇āĻ¸ā§āϰ⧋āϤ⧇āϰ āĻĻāĻŋāϕ⧇ āϚāϞāϞ⧇āĻĒā§āϰāĻ•ā§ƒāϤ āĻŦ⧇āĻ— āĻ•āϤāĻšāĻŦ⧇?
  2. āύāĻĻā§€āϰ āĻĒā§āϰāĻ¸ā§āĻĨ 1.5 km, v=8km/h,u=6km/hv=8 km/h, u=6 km/hv=8km/h,u=6km/h, āϤāĻžāĻšāϞ⧇ āĻĒāĻžāϰāĻžāĻĒāĻžāϰ⧇āϰ āϏāĻŽā§ŸāĻ•āϤ?
  3. v=10km/h,u=6km/h,Îą=120°v=10 km/h, u=6 km/h, \alpha=120°v=10km/h,u=6km/h,Îą=120° āĻšāϞ⧇āĻĒā§āϰāĻ•ā§ƒāϤ āĻŦ⧇āĻ— āĻ“āϏāĻŽā§Ÿ āύāĻŋāĻ°ā§āϪ⧟ āĻ•āϰ⧋ (d=3 km)āĨ¤
  4. āύ⧌āĻ•āĻžāϰ āĻĒā§āϰāĻ•ā§ƒāϤāĻŦ⧇āĻ— 10 km/h, āύāĻĻā§€āϰāĻ¸ā§āϰ⧋āϤ⧇āϰ āĻŦ⧇āĻ— 6 km/h, āϤāĻžāĻšāϞ⧇ āύ⧌āĻ•āĻžāϰ āύāĻŋāϜāĻ¸ā§āĻŦāĻŦ⧇āĻ— āĻ•āϤ?
  5. v=5km/h,u=3km/hv=5 km/h, u=3 km/hv=5km/h,u=3km/h, āύāĻĻā§€āϰ āĻĒā§āϰāĻ¸ā§āĻĨ 200 m — āϏ⧋āϜāĻžāĻŦāĻŋāĻĒāϰ⧀āϤ āĻĒāĻžāϰ⧇ āϝ⧇āϤ⧇āύ⧌āĻ•āĻžāϰ āϕ⧋āĻŖ āĻ•āϤāĻ“ āϏāĻŽā§Ÿ āĻ•āϤāϞāĻžāĻ—āĻŦ⧇?

🔹 āϏāĻ‚āĻ–ā§āϝāĻžāĻ—āϤāĻĒā§āϰāĻļā§āύ (Numerical — ā§§ā§ŠāĻĨ⧇āϕ⧇ ā§¨ā§¨)

  1. āύāĻĻā§€āϰ āĻĒā§āϰāĻ¸ā§āĻĨ 200 āĻŽāĻŋ, v=10km/hv = 10 km/hv=10km/h, u=6km/hu = 6 km/hu=6km/hāĨ¤āύ⧌āĻ•āĻž āϏāϰāĻžāϏāϰāĻŋ āĻŦāĻŋāĻĒāϰ⧀āϤ āĻĒāĻžāϰ⧇ āĻĒ⧌āρāĻ›āĻžāϤ⧇ āĻ•āϤ āϏāĻŽā§Ÿ āϞāĻžāĻ—āĻŦ⧇?
  2. v=12km/hv = 12 km/hv=12km/h āĻ“ u=8km/hu = 8 km/hu=8km/h āĻšāϞ⧇, āϏāϰāĻžāϏāϰāĻŋ āĻĒ⧌āρāĻ›āĻžāύ⧋āϰ āϜāĻ¨ā§āϝāύ⧌āĻ•āĻžāϰ āϕ⧋āĻŖ āύāĻŋāĻ°ā§āϪ⧟āĻ•āϰ⧋āĨ¤
  3. āύ⧌āĻ•āĻžāϰ āĻŦ⧇āĻ— 10 km/h āĻāĻŦāĻ‚ āύāĻĻā§€āϰ āĻ¸ā§āϰ⧋āϤ⧇āϰāĻŦ⧇āĻ— 5 km/h āĻšāϞ⧇, āύ⧌āĻ•āĻž āϝāĻĻāĻŋ āĻ¸ā§āϰ⧋āϤ⧇āϰāĻĻāĻŋāϕ⧇ āϚāϞ⧇ āϤāĻŦ⧇āĻĒā§āϰāĻ•ā§ƒāϤ āĻŦ⧇āĻ— āĻ•āϤāĻšāĻŦ⧇?
  4. āύ⧌āĻ•āĻžāϰ āĻŦ⧇āĻ— 10 km/h āĻāĻŦāĻ‚ āύāĻĻā§€āϰ āĻ¸ā§āϰ⧋āϤ⧇āϰāĻŦ⧇āĻ— 4 km/h āĻšāϞ⧇, āĻŦāĻŋāĻĒāϰ⧀āϤ⧇ āϚāϞāĻžāϰ āĻŦ⧇āĻ—āĻ•āϤ āĻšāĻŦ⧇?
  5. āĻāĻ•āϟāĻŋ āύ⧌āĻ•āĻžāύāĻĻā§€āϰ āĻāĻ• āĻĒāĻžāϰ⧇āĻĨ⧇āϕ⧇ āĻ…āĻ¨ā§āϝ āĻĒāĻžāϰ⧇āϝ⧇āϤ⧇ 10 āĻŽāĻŋāύāĻŋāϟāϏāĻŽā§Ÿ āĻ¨ā§‡ā§ŸāĨ¤ āύāĻĻā§€āϰāĻĒā§āϰāĻ¸ā§āĻĨ 600 āĻŽāĻŋāϟāĻžāϰ, v=5m/sv = 5 m/sv=5m/sāĨ¤āύāĻĻā§€āϰ āĻ¸ā§āϰ⧋āϤ⧇āϰ āĻŦ⧇āĻ—āύāĻŋāĻ°ā§āϪ⧟ āĻ•āϰ⧋āĨ¤
  6. āύāĻĻā§€āϰ āĻĒā§āϰāĻ¸ā§āĻĨ 300 āĻŽāĻŋāϟāĻžāϰ, v=5m/sv = 5 m/sv=5m/s, u=3m/su = 3 m/su=3m/sāĨ¤ āύāĻĻā§€ āĻĒāĻžāϰāĻšāϤ⧇ āϏāĻŽā§Ÿ āĻ•āϤ?
  7. āύ⧌āĻ•āĻž 60° āϕ⧋āϪ⧇ āĻ¸ā§āϰ⧋āϤ⧇āϰ āĻĻāĻŋāϕ⧇āϚāĻžāϞāĻžāϞ⧇ āĻĒā§āϰāĻ•ā§ƒāϤ āĻ—āϤāĻŋāύāĻŋāĻ°ā§āϪ⧟ āĻ•āϰ⧋ (v=12,u=6v=12, u=6v=12,u=6)āĨ¤
  8. v=10km/h,u=6km/h,d=3km,Îą=120° āĻšāϞ⧇ āύāĻĻā§€āĻĒāĻžāϰ āĻšāϤ⧇ āϏāĻŽā§ŸāύāĻŋāĻ°ā§āϪ⧟ āĻ•āϰ⧋āĨ¤
  9. āύ⧌āĻ•āĻž 18 km/h āĻŦ⧇āϗ⧇ āĻ¸ā§āϰ⧋āϤ⧇āϰ āĻĻāĻŋāϕ⧇āĻ“ 6 km/h āĻŦ⧇āϗ⧇āĻŦāĻŋāĻĒāϰ⧀āϤ⧇ āϚāϞ⧇āĨ¤ āύāĻĻā§€āϰāĻ¸ā§āϰ⧋āϤ⧇āϰ āĻ—āϤāĻŋ āĻ“āĻ¸ā§āĻĨāĻŋāϰ āϜāϞ⧇ āύ⧌āĻ•āĻžāϰāĻ—āϤāĻŋ āύāĻŋāĻ°ā§āϪ⧟ āĻ•āϰ⧋āĨ¤
  10. āύ⧌āĻ•āĻž āĻ¸ā§āϰ⧋āϤ⧇āϰāϏāĻžāĻĨ⧇ āϚāϞāϞ⧇ āĻāĻŦāĻ‚āĻŦāĻŋāĻĒāϰ⧀āϤ⧇ āϚāϞāϞ⧇ āϝ⧇āϏāĻŽā§Ÿ āĻ…āύ⧁āĻĒāĻžāϤ āĻĒāĻžā§Ÿ, āϏ⧇āϟāĻŋ āύāĻŋāĻ°ā§āϪ⧟ āĻ•āϰ⧋āĨ¤

🔹 āϭ⧇āĻ•ā§āϟāϰāϏāĻŽā§āĻĒāĻ°ā§āĻ•āĻŋāϤ āĻĒā§āϰāĻļā§āύ (Vector — ā§¨ā§Š āĻĨ⧇āϕ⧇⧍ā§Ŧ)

  1. āĻĻ⧁āϟāĻŋ āĻŦāϞ 8 N āĻ“ 6 N 90° āϕ⧋āϪ⧇ āĻ•ā§āϰāĻŋ⧟āĻžāĻļā§€āϞ āĻšāϞ⧇, āϤāĻžāĻĻ⧇āϰ āϞāĻŦā§āϧāĻŋ āύāĻŋāĻ°ā§āϪ⧟ āĻ•āϰ⧋āĨ¤
  2. āĻĻ⧁āϟāĻŋ āĻŦāϞ 10 N āĻ“ 5 N 120° āϕ⧋āϪ⧇āĻ•ā§āϰāĻŋ⧟āĻžāĻļā§€āϞ āĻšāϞ⧇,  āϞāĻŦā§āϧāĻŋ āĻ“ āϕ⧋āĻŖāύāĻŋāĻ°ā§āϪ⧟ āĻ•āϰ⧋āĨ¤
  3. P=6N,Q=6N,Îą=120° āĻšāϞ⧇, āϞāĻŦā§āϧāĻŋ āĻ“ āĻĻāĻŋāĻ•āύāĻŋāĻ°ā§āϪ⧟ āĻ•āϰ⧋āĨ¤
  4. P=12N,Q=9N,Îą=60° āĻšāϞ⧇, āϞāĻŦā§āϧāĻŋ āĻ“ θ āύāĻŋāĻ°ā§āϪ⧟ āĻ•āϰ⧋āĨ¤

🔹 āĻŦāĻžāĻ¸ā§āϤāĻŦāĻĒā§āĻ°ā§Ÿā§‹āĻ—āĻŽā§‚āϞāĻ• āĻĒā§āϰāĻļā§āύ (Applied — ā§¨ā§­ āĻĨ⧇āϕ⧇ ā§Šā§Ļ)

  1. āĻāĻ•āϟāĻŋ āύ⧌āĻ•āĻž āύāĻĻā§€āϰ āĻāĻ• āĻĒāĻžāϰ⧇ āĻĨ⧇āϕ⧇ āĻ…āĻ¨ā§āϝ āĻĒāĻžāϰ⧇ āϝ⧇āϤ⧇ āϚāĻžā§Ÿ āϝāĻžāϤ⧇ āϏāĻ°ā§āĻŦāύāĻŋāĻŽā§āύ āϏāĻŽā§Ÿ āϞāĻžāϗ⧇āĨ¤ āύ⧌āĻ•āĻžāϟāĻŋāϰ āĻŦ⧇āĻ— 10km/h10 km/h10km/h, āĻ¸ā§āϰ⧋āϤ⧇āϰ āĻŦ⧇āĻ— 6km/h6 km/h6km/h, āύāĻĻā§€āϰ āĻĒā§āϰāĻ¸ā§āĻĨ 2km2 km2kmāĨ¤āϏāĻŽā§Ÿ āύāĻŋāĻ°ā§āϪ⧟ āĻ•āϰ⧋āĨ¤
  2. āĻāĻ•āϟāĻŋ āύ⧌āĻ•āĻžāĻ¸ā§āĻĨāĻŋāϰ āĻĒāĻžāύāĻŋāϤ⧇ 15 km/h āĻŦ⧇āϗ⧇āϚāϞ⧇āĨ¤ āύāĻĻā§€āϰ āĻ¸ā§āϰ⧋āϤ⧇āϰāĻ—āϤāĻŋ 9 km/h āĻšāϞ⧇, āĻŦāĻŋāĻĒāϰ⧀āϤ⧇ 3 km āϝ⧇āϤ⧇āĻ•āϤ āϏāĻŽā§Ÿ āϞāĻžāĻ—āĻŦ⧇?
  3. āύ⧌āĻ•āĻž āϝāĻĻāĻŋāĻ¸ā§āϰ⧋āϤ⧇āϰ āϏāĻžāĻĨ⧇ 30° āϕ⧋āϪ⧇ āϚāϞ⧇, v=12,u=6v = 12, u = 6v=12,u=6 āĻšāϞ⧇, āύ⧌āĻ•āĻžāϰ āĻĒā§āϰāĻ•ā§ƒāϤ āĻ—āϤāĻŋāĻ“ āĻĻāĻŋāĻ• āύāĻŋāĻ°ā§āϪ⧟āĻ•āϰ⧋āĨ¤
  4. āύ⧌āĻ•āĻž āϝāĻĻāĻŋ 3 km āĻĒā§āϰāĻ¸ā§āĻĨ āύāĻĻā§€ 17.3 āĻŽāĻŋāύāĻŋāĻŸā§‡ āĻĒāĻžāϰ āĻšā§ŸāĻāĻŦāĻ‚ u=6km/hu = 6 km/hu=6km/h, āϤāĻŦ⧇ āύ⧌āĻ•āĻžāϰāύāĻŋāϜāĻ¸ā§āĻŦ āĻŦ⧇āĻ— vvv āύāĻŋāĻ°ā§āϪ⧟ āĻ•āϰ⧋āĨ¤
22 Dec, 2025

āĻĒāĻĻāĻžāĻ°ā§āĻĨāĻŦāĻŋāĻœā§āĻžāĻžāύ āĻĒā§āϰāĻĨāĻŽ āĻĒāĻ¤ā§āϰ ā§ĒāĻ°ā§āĻĨ āĻ…āĻ§ā§āϝāĻžā§Ÿ ( āϘāĻ°ā§āώāĻŖ āĻ“ āϘāĻžāϤ āĻŦāϞ āϏāĻŽā§āĻĒāĻ°ā§āĻ•āĻŋāϤ āĻŦāĻžā§œāĻŋāϰ āĻ•āĻžāϜ )

đŸˇī¸ āĻŦāĻŋāώ⧟: āĻĒāĻĻāĻžāĻ°ā§āĻĨāĻŦāĻŋāĻœā§āĻžāĻžāύ ā§§āĻŽ āĻĒāĻ¤ā§āϰ 🎓 āĻļā§āϰ⧇āĻŖā§€: — 📅 āĻļ⧇āώ āϤāĻžāϰāĻŋāĻ–: 2025-12-22

āϘāĻ°ā§āώāĻŖ āϏāĻŽā§āĻĒāĻ°ā§āĻ•āĻŋāϤ ⧍ā§ĻāϟāĻŋ āωāĻ¨ā§āύāϤ āĻ—āĻžāĻŖāĻŋāϤāĻŋāĻ• āĻĒā§āϰāĻļā§āύ

āϧāϰāĻž āύāĻžāĻ“: āĻĒā§āĻ°ā§Ÿā§‹āϜāύ āĻšāϞ⧇ g=10 m/s2g = 10 \,\text{m/s}^2g=10m/s2

ā§§. ā§Ģ kg āĻ­āϰ⧇āϰ āĻāĻ•āϟāĻŋ āĻŦā§āϞāĻ• āĻāĻ•āϟāĻŋ āϰ⧁āĻ•ā§āώ āĻ…āύ⧁āĻ­ā§‚āĻŽāĻŋāĻ• āϤāϞ⧇āϰ āωāĻĒāϰ āĻ¸ā§āĻĨāĻŋāϰ āφāϛ⧇āĨ¤
āϘāĻ°ā§āώāĻŖ āϏāĻšāĻ— ā§Ļ.ā§Ē āĻšāϞ⧇ āĻŦā§āϞāĻ•āϟāĻŋ āϚāϞāϤ⧇ āĻļ⧁āϰ⧁ āĻ•āϰāĻžāϰ āϜāĻ¨ā§āϝ āĻ¨ā§āϝ⧂āύāϤāĻŽ āĻ•āϤ āĻŦāϞ āĻĒā§āϰāϝāĻŧā§‹āĻ— āĻ•āϰāϤ⧇ āĻšāĻŦ⧇?

⧍. ā§§ā§Ļ kg āĻ­āϰ⧇āϰ āĻāĻ•āϟāĻŋ āĻŦā§āϞāĻ• āĻ…āύ⧁āĻ­ā§‚āĻŽāĻŋāĻ• āϰ⧁āĻ•ā§āώ āϤāϞ⧇ āϏāĻŽāĻŦ⧇āϗ⧇ āϚāϞāϛ⧇āĨ¤
āϝāĻĻāĻŋ āϘāĻ°ā§āώāĻŖ āϏāĻšāĻ— ā§Ļ.⧍ā§Ģ āĻšāϝāĻŧ, āϤāĻŦ⧇ āĻŦā§āϞāϕ⧇āϰ āωāĻĒāϰ āĻ•ā§āϰāĻŋāϝāĻŧāĻžāĻļā§€āϞ āϘāĻ°ā§āώāĻŖ āĻŦāϞ āύāĻŋāĻ°ā§āĻŖāϝāĻŧ āĻ•āϰāĨ¤

ā§Š. ⧍ kg āĻ­āϰ⧇āϰ āĻāĻ•āϟāĻŋ āĻŦā§āϞāĻ• ā§Šā§Ļ° āĻĸāĻžāϞ⧁ āϤāϞ⧇āϰ āωāĻĒāϰ āĻ¸ā§āĻĨāĻŋāϰ āφāϛ⧇āĨ¤
āĻ¸ā§āĻĨāĻŋāϰ āϘāĻ°ā§āώāĻŖ āϏāĻšāĻ— ā§Ļ.ā§Ģ āĻšāϞ⧇ āĻŦā§āϞāĻ•āϟāĻŋ āĻ¸ā§āĻ–āϞāύ āĻ•āϰāĻŦ⧇ āĻ•āĻŋ āύāĻž āϝāĻžāϚāĻžāχ āĻ•āϰāĨ¤

ā§Ē. āĻāĻ•āϟāĻŋ āĻŦā§āϞāĻ• ā§Ēā§Ģ° āĻĸāĻžāϞ⧁ āϤāϞ⧇ āĻ āĻŋāĻ• āĻ¸ā§āĻ–āϞāύ⧇āϰ āĻ…āĻŦāĻ¸ā§āĻĨāĻžāϝāĻŧ āφāϛ⧇āĨ¤
āĻŦā§āϞāĻ• āĻ“ āϤāϞ⧇āϰ āĻŽāĻ§ā§āϝ⧇ āϘāĻ°ā§āώāĻŖ āϏāĻšāĻ— āύāĻŋāĻ°ā§āĻŖāϝāĻŧ āĻ•āϰāĨ¤

ā§Ģ. ⧍ā§Ļ kg āĻ­āϰ⧇āϰ āĻāĻ•āϟāĻŋ āĻŦā§āϞāĻ•āϕ⧇ āĻ…āύ⧁āĻ­ā§‚āĻŽāĻŋāĻ• āϤāϞ⧇ ā§Šā§Ļ° āϕ⧋āϪ⧇ āĻāĻ•āϟāĻŋ āĻŦāϞ āĻĻāĻŋāϝāĻŧ⧇ āϟāĻžāύāĻž āĻšāĻšā§āϛ⧇āĨ¤
āϘāĻ°ā§āώāĻŖ āϏāĻšāĻ— ā§Ļ.ā§Š āĻšāϞ⧇ āĻŦā§āϞāĻ•āϟāĻŋ āϚāϞāϤ⧇ āĻļ⧁āϰ⧁ āĻ•āϰāĻžāϰ āϜāĻ¨ā§āϝ āĻ¨ā§āϝ⧂āύāϤāĻŽ āĻŦāϞ āĻ•āϤ?

ā§Ŧ. āĻāĻ•āϟāĻŋ āĻŦā§āϞāĻ•āϕ⧇ āĻ…āύ⧁āĻ­ā§‚āĻŽāĻŋāĻ• āϰ⧁āĻ•ā§āώ āϤāϞ⧇ āϧāĻžāĻ•ā§āĻ•āĻž āĻĻāĻŋāϝāĻŧ⧇ āϛ⧇āĻĄāĻŧ⧇ āĻĻāĻŋāϞ⧇ ā§Ž m āĻĻā§‚āϰāĻ¤ā§āĻŦ āĻ…āϤāĻŋāĻ•ā§āϰāĻŽ āĻ•āϰ⧇ āĻĨ⧇āĻŽā§‡ āϝāĻžāϝāĻŧāĨ¤
āϝāĻĻāĻŋ āĻĒā§āϰāĻžāĻĨāĻŽāĻŋāĻ• āĻŦ⧇āĻ— ā§Ž m/s āĻšāϝāĻŧ, āϤāĻŦ⧇ āϘāĻ°ā§āώāĻŖ āϏāĻšāĻ— āύāĻŋāĻ°ā§āĻŖāϝāĻŧ āĻ•āϰāĨ¤

ā§­. ā§Ē kg āĻ­āϰ⧇āϰ āĻāĻ•āϟāĻŋ āĻŦā§āϞāĻ• āϰ⧁āĻ•ā§āώ āĻ…āύ⧁āĻ­ā§‚āĻŽāĻŋāĻ• āϤāϞ⧇ ⧍ m/s² āĻ¤ā§āĻŦāϰāϪ⧇ āϚāϞāϛ⧇āĨ¤
āϘāĻ°ā§āώāĻŖ āϏāĻšāĻ— ā§Ļ.⧍ā§Ģ āĻšāϞ⧇ āĻŦā§āϞāϕ⧇āϰ āωāĻĒāϰ āĻĒā§āϰāϝāĻŧā§‹āĻ—āĻ•ā§ƒāϤ āĻŦāϞ āύāĻŋāĻ°ā§āĻŖāϝāĻŧ āĻ•āϰāĨ¤

ā§Ž. ā§Ž kg āĻ­āϰ⧇āϰ āĻāĻ•āϟāĻŋ āĻŦā§āϞāĻ•āϕ⧇ āĻ…āύ⧁āĻ­ā§‚āĻŽāĻŋāĻ• āϤāϞ⧇ ā§Ēā§Ļ° āϕ⧋āϪ⧇ āĻĻāĻĄāĻŧāĻŋ āĻĻāĻŋāϝāĻŧ⧇ āϟāĻžāύāĻž āĻšāĻšā§āϛ⧇āĨ¤
āϘāĻ°ā§āώāĻŖ āϏāĻšāĻ— ā§Ļ.⧍ āĻšāϞ⧇ āύāĻ°ā§āĻŽāĻžāϞ āĻĒā§āϰāϤāĻŋāĻ•ā§āϰāĻŋāϝāĻŧāĻž āύāĻŋāĻ°ā§āĻŖāϝāĻŧ āĻ•āϰāĨ¤

⧝. ā§Ģ kg āĻ­āϰ⧇āϰ āĻāĻ•āϟāĻŋ āĻŦā§āϞāĻ• ā§Šā§­Â° āĻĸāĻžāϞ⧁ āϤāϞ⧇ āύāĻŋāĻšā§‡āϰ āĻĻāĻŋāϕ⧇ āϏāϰ⧇ āϝāĻžāĻšā§āϛ⧇āĨ¤
āϘāĻ°ā§āώāĻŖ āϏāĻšāĻ— ā§Ļ.⧍ āĻšāϞ⧇ āĻŦā§āϞāϕ⧇āϰ āĻ¤ā§āĻŦāϰāĻŖ āύāĻŋāĻ°ā§āĻŖāϝāĻŧ āĻ•āϰāĨ¤

ā§§ā§Ļ. ā§§ā§Ģ kg āĻ­āϰ⧇āϰ āĻāĻ•āϟāĻŋ āĻŦā§āϞāϕ⧇āϰ āωāĻĒāϰ āĻ•ā§āϰāĻŋāϝāĻŧāĻžāĻļā§€āϞ āϏāĻ°ā§āĻŦāĻžāϧāĻŋāĻ• āĻ¸ā§āĻĨāĻŋāϰ āϘāĻ°ā§āώāĻŖ āĻŦāϞ ā§Ēā§Ģ NāĨ¤
āĻŦā§āϞāĻ• āĻ“ āϤāϞ⧇āϰ āĻŽāĻ§ā§āϝ⧇ āĻ¸ā§āĻĨāĻŋāϰ āϘāĻ°ā§āώāĻŖ āϏāĻšāĻ— āύāĻŋāĻ°ā§āĻŖāϝāĻŧ āĻ•āϰāĨ¤

ā§§ā§§. ā§Ŧ kg āĻ­āϰ⧇āϰ āĻāĻ•āϟāĻŋ āĻŦā§āϞāĻ• āĻ…āύ⧁āĻ­ā§‚āĻŽāĻŋāĻ• āϤāϞ⧇ āĻ¸ā§āĻĨāĻŋāϰ āφāϛ⧇āĨ¤
⧍ā§Ļ N āĻŦāϞ āĻĒā§āϰāϝāĻŧā§‹āĻ— āĻ•āϰāϞ⧇ āĻŦā§āϞāĻ•āϟāĻŋ āϚāϞāĻž āĻļ⧁āϰ⧁ āĻ•āϰ⧇āĨ¤ āĻ¸ā§āĻĨāĻŋāϰ āϘāĻ°ā§āώāĻŖ āϏāĻšāĻ— āύāĻŋāĻ°ā§āĻŖāϝāĻŧ āĻ•āϰāĨ¤

⧧⧍. ⧧⧍ kg āĻ­āϰ⧇āϰ āĻāĻ•āϟāĻŋ āĻŦā§āϞāĻ• āϏāĻŽāĻŦ⧇āϗ⧇ āϚāϞāϤ⧇ ⧍ā§Ē N āĻŦāϞ āĻĒā§āϰāϝāĻŧā§‹āϜāύ āĻšāϝāĻŧāĨ¤
āĻŦā§āϞāĻ• āĻ“ āϤāϞ⧇āϰ āĻŽāĻ§ā§āϝ⧇ āϘāĻ°ā§āώāĻŖ āϏāĻšāĻ— āĻ•āϤ?

ā§§ā§Š. āĻāĻ•āϟāĻŋ āĻŦā§āϞāĻ• ⧍ā§Ģ° āĻĸāĻžāϞ⧁ āϤāϞ⧇āϰ āωāĻĒāϰ āĻ¸ā§āĻĨāĻŋāϰ āφāϛ⧇āĨ¤
āϝāĻĻāĻŋ āϘāĻ°ā§āώāĻŖ āϏāĻšāĻ— ā§Ļ.ā§Ē āĻšāϝāĻŧ, āϤāĻŦ⧇ āĻŦā§āϞāĻ•āϟāĻŋ āĻ¸ā§āĻ–āϞāύ āĻ•āϰāĻŦ⧇ āĻ•āĻŋ āύāĻž āύāĻŋāĻ°ā§āĻŖāϝāĻŧ āĻ•āϰāĨ¤

ā§§ā§Ē. āĻāĻ•āϟāĻŋ āĻ—āĻžāĻĄāĻŧāĻŋāϰ āϟāĻžāϝāĻŧāĻžāϰ āĻ“ āϰāĻžāĻ¸ā§āϤāĻžāϝāĻŧ āϘāĻ°ā§āώāĻŖ āϏāĻšāĻ— ā§Ļ.ā§ŦāĨ¤
āĻ—āĻžāĻĄāĻŧāĻŋāϟāĻŋ āĻĒāĻŋāĻ›āϞāĻžāύ⧋ āĻ›āĻžāĻĄāĻŧāĻž āϏāĻ°ā§āĻŦāĻžāϧāĻŋāĻ• āĻ•āϤ āĻ¤ā§āĻŦāϰāϪ⧇ āϚāϞāϤ⧇ āĻĒāĻžāϰāĻŦ⧇?

ā§§ā§Ģ. ā§§ā§Ļ kg āĻ­āϰ⧇āϰ āĻāĻ•āϟāĻŋ āĻŦā§āϞāĻ• āĻ…āύ⧁āĻ­ā§‚āĻŽāĻŋāĻ• āϤāϞ⧇ āφāϛ⧇āĨ¤
āϘāĻ°ā§āώāĻŖ āĻŦāϞ⧇āϰ āĻŽāĻžāύ ā§Šā§Ļ N āĻšāϞ⧇ āύāĻ°ā§āĻŽāĻžāϞ āĻĒā§āϰāϤāĻŋāĻ•ā§āϰāĻŋāϝāĻŧāĻž āύāĻŋāĻ°ā§āĻŖāϝāĻŧ āĻ•āϰāĨ¤

ā§§ā§Ŧ. āĻāĻ•āϟāĻŋ āĻŦāĻ¸ā§āϤ⧁ ā§Ŧ m/s āĻŦ⧇āϗ⧇ āĻ…āύ⧁āĻ­ā§‚āĻŽāĻŋāĻ• āϤāϞ⧇ āϚāϞāϤ⧇ āϚāϞāϤ⧇ ⧝ m āĻĻā§‚āϰāĻ¤ā§āĻŦ āĻ…āϤāĻŋāĻ•ā§āϰāĻŽ āĻ•āϰ⧇ āĻĨ⧇āĻŽā§‡ āϝāĻžāϝāĻŧāĨ¤
āĻŦāĻ¸ā§āϤ⧁ āĻ“ āϤāϞ⧇āϰ āĻŽāĻ§ā§āϝ⧇ āϘāĻ°ā§āώāĻŖ āϏāĻšāĻ— āύāĻŋāĻ°ā§āĻŖāϝāĻŧ āĻ•āϰāĨ¤

ā§§ā§­. ā§Ē kg āĻ­āϰ⧇āϰ āĻāĻ•āϟāĻŋ āĻŦā§āϞāĻ• ā§Šā§Ļ° āĻĸāĻžāϞ⧁ āϤāϞ⧇ āωāĻĒāϰ⧇āϰ āĻĻāĻŋāϕ⧇ āϚāϞ⧇āϛ⧇āĨ¤
āϘāĻ°ā§āώāĻŖ āϏāĻšāĻ— ā§Ļ.ā§Š āĻšāϞ⧇ āĻŦā§āϞāϕ⧇āϰ āĻ¤ā§āĻŦāϰāĻŖ āύāĻŋāĻ°ā§āĻŖāϝāĻŧ āĻ•āϰāĨ¤

ā§§ā§Ž. ⧍ā§Ļ kg āĻ­āϰ⧇āϰ āĻāĻ•āϟāĻŋ āĻŦāĻžāĻ•ā§āϏāϕ⧇ āĻ…āύ⧁āĻ­ā§‚āĻŽāĻŋāĻ• āϤāϞ⧇ āϟāĻžāύāϤ⧇ ā§Žā§Ļ N āĻŦāϞ āϞāĻžāϗ⧇āĨ¤
āĻŦāĻžāĻ•ā§āϏ āĻ“ āϤāϞ⧇āϰ āĻŽāĻ§ā§āϝ⧇ āϘāĻ°ā§āώāĻŖ āϏāĻšāĻ— āύāĻŋāĻ°ā§āĻŖāϝāĻŧ āĻ•āϰāĨ¤

⧧⧝. āĻāĻ•āϟāĻŋ āĻŦā§āϞāĻ• āĻĸāĻžāϞ⧁ āϤāϞ⧇ āĻ āĻŋāĻ• āĻ¸ā§āĻ–āϞāύ⧇āϰ āĻ…āĻŦāĻ¸ā§āĻĨāĻžāϝāĻŧ āφāϛ⧇āĨ¤
āϝāĻĻāĻŋ āĻĸāĻžāϞ⧁ āϤāϞ⧇āϰ āϕ⧋āĻŖ ā§Šā§Ģ° āĻšāϝāĻŧ, āϤāĻŦ⧇ āϘāĻ°ā§āώāĻŖ āϏāĻšāĻ— āĻ•āϤ?

⧍ā§Ļ. ā§Ģ kg āĻ­āϰ⧇āϰ āĻāĻ•āϟāĻŋ āĻŦā§āϞāĻ• āĻ…āύ⧁āĻ­ā§‚āĻŽāĻŋāĻ• āϤāϞ⧇ ā§§ā§Ļ m āĻĒāĻĨ āĻ…āϤāĻŋāĻ•ā§āϰāĻŽ āĻ•āϰ⧇ āĻĨ⧇āĻŽā§‡ āϝāĻžāϝāĻŧāĨ¤
āϘāĻ°ā§āώāĻŖ āĻŦāϞ āĻ§ā§āϰ⧁āĻŦ āĻšāϞ⧇ āϘāĻ°ā§āώāϪ⧇āϰ āĻĻā§āĻŦāĻžāϰāĻž āϏāĻŽā§āĻĒāĻžāĻĻāĻŋāϤ āĻ•āĻžāϜ āύāĻŋāĻ°ā§āĻŖāϝāĻŧ āĻ•āϰāĨ¤

āϘāĻžāϤāĻŦāϞ āϏāĻŽā§āĻĒāĻ°ā§āĻ•āĻŋāϤ āωāĻ¨ā§āύāϤ āĻ—āĻžāĻŖāĻŋāϤāĻŋāĻ• āĻĒā§āϰāĻļā§āύ (⧍ā§ĻāϟāĻŋ)

ā§§. ⧍ kg āĻ­āϰ⧇āϰ āĻāĻ•āϟāĻŋ āĻŦāϞ ā§§ā§Ļ m/s āĻŦ⧇āϗ⧇ āĻāĻ•āϟāĻŋ āĻĻ⧇āϝāĻŧāĻžāϞ⧇ āφāϘāĻžāϤ āĻ•āϰ⧇ āĻāĻŦāĻ‚ ā§Ļ.ā§Ļ⧍ s āϏāĻŽāϝāĻŧ⧇ āĻĨ⧇āĻŽā§‡ āϝāĻžāϝāĻŧāĨ¤
āϘāĻžāϤāĻŦāϞ āĻ“ āĻ—āĻĄāĻŧ āϘāĻžāϤāĻŦāϞ āύāĻŋāĻ°ā§āĻŖāϝāĻŧ āĻ•āϰāĨ¤

⧍. ā§Ļ.ā§Ģ kg āĻ­āϰ⧇āϰ āĻāĻ•āϟāĻŋ āĻŦāϞ ⧍ā§Ļ m/s āĻŦ⧇āϗ⧇ āϚāϞāĻ›āĻŋāϞāĨ¤ āϏāĻ‚āϘāĻ°ā§āώ⧇āϰ āĻĒāϰ āĻŦāĻŋāĻĒāϰ⧀āϤ āĻĻāĻŋāϕ⧇ ā§§ā§Ļ m/s āĻŦ⧇āϗ⧇ āĻĢāĻŋāϰ⧇ āφāϏ⧇āĨ¤
āϘāĻžāϤ āĻ“ āĻ—āĻĄāĻŧ āϘāĻžāϤāĻŦāϞ āύāĻŋāĻ°ā§āĻŖāϝāĻŧ āĻ•āϰāĨ¤ (āϏāĻ‚āϘāĻ°ā§āώāĻ•āĻžāϞ = ā§Ļ.ā§Ļā§Ģ s)

ā§Š. ā§§ kg āĻ­āϰ⧇āϰ āĻāĻ•āϟāĻŋ āĻŦāĻ¸ā§āϤ⧁ āĻ¸ā§āĻĨāĻŋāϰ āĻ…āĻŦāĻ¸ā§āĻĨāĻž āĻĨ⧇āϕ⧇ ā§§ā§Ģ m/s āĻŦ⧇āϗ⧇ āĻĒ⧌āρāĻ›āĻžāϤ⧇ ā§Ļ.ā§§ s āϏāĻŽāϝāĻŧ āύ⧇āϝāĻŧāĨ¤
āĻŦāĻ¸ā§āϤ⧁āϰ āωāĻĒāϰ āĻĒā§āϰāϝāĻŧā§‹āĻ—āĻ•ā§ƒāϤ āĻ—āĻĄāĻŧ āϘāĻžāϤāĻŦāϞ āύāĻŋāĻ°ā§āĻŖāϝāĻŧ āĻ•āϰāĨ¤

ā§Ē. ā§§ā§Ļā§Ļ g āĻ­āϰ⧇āϰ āĻāĻ•āϟāĻŋ āĻŦāϞ ā§Šā§Ļ m/s āĻŦ⧇āϗ⧇ āĻāĻ•āϟāĻŋ āĻĻ⧇āϝāĻŧāĻžāϞ⧇ āφāϘāĻžāϤ āĻ•āϰ⧇ āĻāĻŦāĻ‚ ⧍ā§Ģ m/s āĻŦ⧇āϗ⧇ āĻĢāĻŋāϰ⧇ āφāϏ⧇āĨ¤
āϘāĻžāϤ āĻ“ āĻ—āĻĄāĻŧ āϘāĻžāϤāĻŦāϞ āύāĻŋāĻ°ā§āĻŖāϝāĻŧ āĻ•āϰāĨ¤ (āϏāĻ‚āϘāĻ°ā§āώāĻ•āĻžāϞ = ā§Ļ.ā§Ļā§§ s)

ā§Ģ. ā§Ģ kg āĻ­āϰ⧇āϰ āĻāĻ•āϟāĻŋ āĻŦāĻ¸ā§āϤ⧁ ā§Ē m/s āĻŦ⧇āϗ⧇ āϚāϞāĻ›āĻŋāϞāĨ¤ ā§Ļ.⧍ s āϏāĻŽāϝāĻŧ⧇ āϤāĻžāϰ āĻŦ⧇āĻ— ā§§ā§Ļ m/s āĻšāϝāĻŧāĨ¤
āϘāĻžāϤ āĻ“ āĻ—āĻĄāĻŧ āϘāĻžāϤāĻŦāϞ āύāĻŋāĻ°ā§āĻŖāϝāĻŧ āĻ•āϰāĨ¤

ā§Ŧ. āĻāĻ•āϟāĻŋ āĻ•ā§āϰāĻŋāϕ⧇āϟ āĻŦāϞ ā§§ā§Ģā§Ļ g āĻ­āϰ⧇āϰ, āĻŦā§āϝāĻžāĻŸā§‡ āφāϘāĻžāϤ āĻ•āϰ⧇ ⧍ā§Ļ m/s āĻŦ⧇āϗ⧇ āφāϏ⧇ āĻāĻŦāĻ‚ ā§Šā§Ļ m/s āĻŦ⧇āϗ⧇ āĻĢāĻŋāϰ⧇ āϝāĻžāϝāĻŧāĨ¤
āϏāĻ‚āϘāĻ°ā§āώāĻ•āĻžāϞ ā§Ļ.ā§Ļā§Š s āĻšāϞ⧇ āĻ—āĻĄāĻŧ āϘāĻžāϤāĻŦāϞ āĻ•āϤ?

ā§­. ⧍ kg āĻ­āϰ⧇āϰ āĻāĻ•āϟāĻŋ āĻŦāϞ ā§Ž m/s āĻŦ⧇āϗ⧇ āϚāϞāĻ›āĻŋāϞ āĻāĻŦāĻ‚ ā§Ļ.ā§Ļā§Ē s āϏāĻŽāϝāĻŧ⧇ āĻĨ⧇āĻŽā§‡ āϝāĻžāϝāĻŧāĨ¤
āĻ—āĻĄāĻŧ āϘāĻžāϤāĻŦāϞ āύāĻŋāĻ°ā§āĻŖāϝāĻŧ āĻ•āϰāĨ¤

ā§Ž. ā§§.ā§Ģ kg āĻ­āϰ⧇āϰ āĻāĻ•āϟāĻŋ āĻŦāĻ¸ā§āϤ⧁ āĻ¸ā§āĻĨāĻŋāϰ āĻ…āĻŦāĻ¸ā§āĻĨāĻž āĻĨ⧇āϕ⧇ ⧧⧍ m/s āĻŦ⧇āϗ⧇ āĻĒ⧌āρāĻ›āĻžāϝāĻŧāĨ¤
āϝāĻĻāĻŋ āĻ—āĻĄāĻŧ āϘāĻžāϤāĻŦāϞ ā§Ŧā§Ļ N āĻšāϝāĻŧ, āϤāĻŦ⧇ āϏāĻ‚āϘāĻ°ā§āώāĻ•āĻžāϞ āύāĻŋāĻ°ā§āĻŖāϝāĻŧ āĻ•āϰāĨ¤

⧝. ā§Ļ.⧍ kg āĻ­āϰ⧇āϰ āĻāĻ•āϟāĻŋ āĻŦāϞ ⧍ā§Ģ m/s āĻŦ⧇āϗ⧇ āĻāĻ•āϟāĻŋ āĻĻ⧇āϝāĻŧāĻžāϞ⧇ āφāϘāĻžāϤ āĻ•āϰ⧇ āĻāĻŦāĻ‚ āĻāĻ•āχ āĻŦ⧇āϗ⧇ āĻĢāĻŋāϰ⧇ āφāϏ⧇āĨ¤
āϘāĻžāϤ āύāĻŋāĻ°ā§āĻŖāϝāĻŧ āĻ•āϰāĨ¤

ā§§ā§Ļ. ā§§ā§Ļ kg āĻ­āϰ⧇āϰ āĻāĻ•āϟāĻŋ āĻŦāĻ¸ā§āϤ⧁ ā§Ģ m/s āĻŦ⧇āϗ⧇ āϚāϞāĻ›āĻŋāϞāĨ¤ ā§Ļ.ā§Ģ s āϏāĻŽāϝāĻŧ⧇ āĻĨ⧇āĻŽā§‡ āϝāĻžāϝāĻŧāĨ¤
āĻ—āĻĄāĻŧ āϘāĻžāϤāĻŦāϞ āύāĻŋāĻ°ā§āĻŖāϝāĻŧ āĻ•āϰāĨ¤

ā§§ā§§. ā§§ kg āĻ­āϰ⧇āϰ āĻāĻ•āϟāĻŋ āĻŦāϞ ā§§ā§Ļ m/s āĻŦ⧇āϗ⧇ āύāĻŋāĻšā§‡ āĻĒāĻĄāĻŧāϛ⧇ āĻāĻŦāĻ‚ āĻ­ā§‚āĻŽāĻŋāϤ⧇ āφāϘāĻžāϤ āĻ•āϰ⧇ ā§Ļ.ā§Ļ⧍ s āĻ āĻĨ⧇āĻŽā§‡ āϝāĻžāϝāĻŧāĨ¤
āĻ—āĻĄāĻŧ āϘāĻžāϤāĻŦāϞ āύāĻŋāĻ°ā§āĻŖāϝāĻŧ āĻ•āϰāĨ¤ (āĻ“āϜāύ āωāĻĒ⧇āĻ•ā§āώāĻž āĻ•āϰ⧋ āύāĻž)

⧧⧍. ā§Ļ.ā§Ē kg āĻ­āϰ⧇āϰ āĻāĻ•āϟāĻŋ āĻŦāϞ ā§§ā§Ž m/s āĻŦ⧇āϗ⧇ āϚāϞāĻ›āĻŋāϞāĨ¤ āϏāĻ‚āϘāĻ°ā§āώ⧇āϰ āĻĒāϰ āĻŦ⧇āĻ— ā§Ŧ m/s āĻšāϝāĻŧ⧇ āϝāĻžāϝāĻŧāĨ¤
āϘāĻžāϤ āύāĻŋāĻ°ā§āĻŖāϝāĻŧ āĻ•āϰāĨ¤

ā§§ā§Š. āĻāĻ•āϟāĻŋ āĻŦ⧁āϞ⧇āϟ ⧍ā§Ļ g āĻ­āϰ⧇āϰ, ā§Ēā§Ļā§Ļ m/s āĻŦ⧇āϗ⧇ āĻ•āĻžāϠ⧇āϰ āĻŽāĻ§ā§āϝ⧇ āĻĸ⧁āϕ⧇ ā§Ģ cm āĻ—āĻ­ā§€āϰ⧇ āĻ—āĻŋāϝāĻŧ⧇ āĻĨ⧇āĻŽā§‡ āϝāĻžāϝāĻŧāĨ¤
āĻ—āĻĄāĻŧ āϘāĻžāϤāĻŦāϞ āύāĻŋāĻ°ā§āĻŖāϝāĻŧ āĻ•āϰāĨ¤

ā§§ā§Ē. ⧍ kg āĻ­āϰ⧇āϰ āĻāĻ•āϟāĻŋ āĻŦāĻ¸ā§āϤ⧁ ā§Ŧ m/s āĻŦ⧇āϗ⧇ āϚāϞāĻ›āĻŋāϞāĨ¤ āϏāĻ‚āϘāĻ°ā§āώ⧇āϰ āĻĒāϰ ⧍ m/s āĻŦ⧇āϗ⧇ āĻĢāĻŋāϰ⧇ āφāϏ⧇āĨ¤
āϘāĻžāϤ āύāĻŋāĻ°ā§āĻŖāϝāĻŧ āĻ•āϰāĨ¤

ā§§ā§Ģ. ā§Ģ kg āĻ­āϰ⧇āϰ āĻāĻ•āϟāĻŋ āĻŦāĻ¸ā§āϤ⧁ āĻ¸ā§āĻĨāĻŋāϰ āĻ…āĻŦāĻ¸ā§āĻĨāĻž āĻĨ⧇āϕ⧇ ā§Ž m/s āĻŦ⧇āϗ⧇ āĻĒ⧌āρāĻ›āĻžāϝāĻŧāĨ¤
āϘāĻžāϤ āύāĻŋāĻ°ā§āĻŖāϝāĻŧ āĻ•āϰāĨ¤

ā§§ā§Ŧ. ā§Ļ.⧍ā§Ģ kg āĻ­āϰ⧇āϰ āĻāĻ•āϟāĻŋ āĻŦāϞ ā§§ā§Ŧ m/s āĻŦ⧇āϗ⧇ āϚāϞāĻ›āĻŋāϞāĨ¤ ā§Ļ.ā§Ļā§Ž s āϏāĻŽāϝāĻŧ⧇ āĻĨ⧇āĻŽā§‡ āϝāĻžāϝāĻŧāĨ¤
āĻ—āĻĄāĻŧ āϘāĻžāϤāĻŦāϞ āύāĻŋāĻ°ā§āĻŖāϝāĻŧ āĻ•āϰāĨ¤

ā§§ā§­. ā§§ kg āĻ­āϰ⧇āϰ āĻāĻ•āϟāĻŋ āĻŦāϞ ⧧⧍ m/s āĻŦ⧇āϗ⧇ āωāĻĒāϰ⧇āϰ āĻĻāĻŋāϕ⧇ āϛ⧋āρāĻĄāĻŧāĻž āĻšāϞ⧋āĨ¤ ā§Ļ.ā§§ā§Ģ s āϏāĻŽāϝāĻŧ⧇ āĻŦ⧇āĻ— āĻļā§‚āĻ¨ā§āϝ āĻšāϝāĻŧāĨ¤
āĻ—āĻĄāĻŧ āϘāĻžāϤāĻŦāϞ āύāĻŋāĻ°ā§āĻŖāϝāĻŧ āĻ•āϰāĨ¤ (āĻŽāĻžāĻ§ā§āϝāĻžāĻ•āĻ°ā§āώāĻŖ āϧāϰāĻž āĻšāĻŦ⧇)

ā§§ā§Ž.āĻāĻ•āϟāĻŋ āĻŦāϞ⧇āϰ āĻ­āϰ ⧍ā§Ļā§Ļ gāĨ¤ āϏāĻ‚āϘāĻ°ā§āώ⧇āϰ āφāϗ⧇ āĻ“ āĻĒāϰ⧇ āĻŦ⧇āĻ— āϝāĻĨāĻžāĻ•ā§āϰāĻŽā§‡ ā§§ā§Ģ m/s āĻ“ âˆ’ā§§ā§Ļ m/sāĨ¤
āϘāĻžāϤ āύāĻŋāĻ°ā§āĻŖāϝāĻŧ āĻ•āϰāĨ¤

⧧⧝. ā§§ā§Ļā§Ļā§Ļ kg āĻ­āϰ⧇āϰ āĻāĻ•āϟāĻŋ āĻ—āĻžāĻĄāĻŧāĻŋ ⧍ā§Ļ m/s āĻŦ⧇āϗ⧇ āϚāϞāĻ›āĻŋāϞāĨ¤ āĻŦā§āϰ⧇āĻ• āĻ•āϰāϞ⧇ ā§Ģ s āϏāĻŽāϝāĻŧ⧇ āĻĨ⧇āĻŽā§‡ āϝāĻžāϝāĻŧāĨ¤
āĻ—āĻĄāĻŧ āϘāĻžāϤāĻŦāϞ āύāĻŋāĻ°ā§āĻŖāϝāĻŧ āĻ•āϰāĨ¤

⧍ā§Ļ. ā§Ļ.ā§§ kg āĻ­āϰ⧇āϰ āĻāĻ•āϟāĻŋ āĻŦāϞ ā§Ģā§Ļ m/s āĻŦ⧇āϗ⧇ āĻĻ⧇āϝāĻŧāĻžāϞ⧇ āφāϘāĻžāϤ āĻ•āϰ⧇ āĻāĻŦāĻ‚ ā§Ēā§Ļ m/s āĻŦ⧇āϗ⧇ āĻĢāĻŋāϰ⧇ āφāϏ⧇āĨ¤
āϏāĻ‚āϘāĻ°ā§āώāĻ•āĻžāϞ ā§Ļ.ā§Ļā§§ s āĻšāϞ⧇ āĻ—āĻĄāĻŧ āϘāĻžāϤāĻŦāϞ āύāĻŋāĻ°ā§āĻŖāϝāĻŧ āĻ•āϰāĨ¤

21 Nov, 2025

āĻŦāĻžāχāύāĻžāϰāĻŋ, āĻ…āĻ•ā§āϟāĻžāϞ āĻ“ āĻĄā§‡āϏāĻŋāĻŽā§‡āϞ āĻĨ⧇āϕ⧇ āĻĻāĻļāĻŽāĻŋāϕ⧇ āϰ⧁āĻĒāĻžāĻ¨ā§āϤāϰ āĻ“ āĻĒāĻžāĻ°ā§āĻĨāĻ•ā§āϝ āύāĻŋāĻ°ā§āϪ⧟

đŸˇī¸ āĻŦāĻŋāώ⧟: āϤāĻĨā§āϝ āĻ“ āϝ⧇āĻžāĻ—āĻžāϝ⧋āĻ— āĻĒā§āϰāϝ⧁āĻ•ā§āϤāĻŋ 🎓 āĻļā§āϰ⧇āĻŖā§€: āχāĻ¨ā§āϟāĻžāϰ āĻĒā§āϰāĻĨāĻŽ āĻŦāĻ°ā§āώ 📅 āĻļ⧇āώ āϤāĻžāϰāĻŋāĻ–: 2025-11-21

ā§§. āϰāĻšāĻŋāĻŽ āϏāĻžāĻšā§‡āĻŦ⧇āϰ āĻ•āĻžāϛ⧇ 35,000 āϟāĻžāĻ•āĻž āĻ›āĻŋāϞāĨ¤
āϤāĻŋāύāĻŋ āϤāĻŋāύ āĻŽā§‡ā§Ÿā§‡āϰ āĻŽāĻ§ā§āϝ⧇ āĻ­āĻžāĻ— āĻ•āϰ⧇ āĻĻāĻŋāϞ⧇āύ—

  • āĻŦ⧜ āĻŽā§‡ā§Ÿā§‡ āĻĒ⧇āϞ (110101.11)₂
  • āĻŽāĻžāĻā§‡āϰ āĻŽā§‡ā§Ÿā§‡ āĻĒ⧇āϞ (473.56)₈
  • āϛ⧋āϟ āĻŽā§‡ā§Ÿā§‡ āĻĒ⧇āϞ (B4C.9A)₁₆

āϤāĻžāϰ āĻ•āĻžāϛ⧇ āϟāĻžāĻ•āĻž āĻŦāĻžā§œāϤāĻŋ āϰāχāϞ āύāĻžāĻ•āĻŋ āĻ•āĻŽ āĻĒ⧜āϞ?

⧍. āĻŽā§‹āĻļāĻžāϰāĻĢ⧇āϰ ā§Ģ āĻŦāĻŋāϘāĻž āϜāĻŽāĻŋ āĻ›āĻŋāϞāĨ¤
āϤāĻŋāύāĻŋ āϤāĻŋāύ āϛ⧇āϞ⧇āϰ āĻŽāĻžāĻā§‡ āĻ­āĻžāĻ— āĻ•āϰāϤ⧇ āĻ—āĻŋā§Ÿā§‡ āĻŽāĻžāĻĒ āĻĒā§āϰāĻ•āĻžāĻļ āĻ•āϰāϞ⧇āύ—

  • āĻĒā§āϰāĻĨāĻŽ āϛ⧇āϞ⧇ āĻĒ⧇āϞ (101011.1)₂ āĻŦāĻŋāϘāĻž
  • āĻĻā§āĻŦāĻŋāĻ¤ā§€ā§Ÿ āϛ⧇āϞ⧇ āĻĒ⧇āϞ (72.4)₈ āĻŦāĻŋāϘāĻž
  • āϤ⧃āĻ¤ā§€ā§Ÿ āϛ⧇āϞ⧇ āĻĒ⧇āϞ (A3.8)₁₆ āĻŦāĻŋāϘāĻž

āĻŽā§‹āϟ āϜāĻŽāĻŋāϰ āϏāĻžāĻĨ⧇ āĻ­āĻžāϗ⧇āϰ āĻŽāĻŋāϞ āφāϛ⧇ āĻ•āĻŋ āύāĻž āϤāĻž āϝāĻžāϚāĻžāχ āĻ•āϰāĨ¤

ā§Š. ā§§ā§Ļā§Ļ āĻŽāĻŖ āϧāĻžāύ āĻ‰ā§ŽāĻĒāĻžāĻĻāĻŋāϤ āĻšā§Ÿā§‡āĻ›āĻŋāϞāĨ¤
āĻŦāĻ¨ā§āϝāĻžā§Ÿ āύāĻˇā§āϟ āĻšāϞ⧋—

  • (1110.11)₂ āĻŽāĻŖ
  • (54.6)₈ āĻŽāĻŖ
  • (1F.A)₁₆ āĻŽāĻŖ

āĻŽā§‹āϟ āĻ•āϤ āĻŽāĻŖ āĻĢāϏāϞ āύāĻˇā§āϟ āĻšāϞ⧋?

ā§Ē. āϏāĻŋāĻšāĻžāĻŦ 20,000 āϟāĻžāĻ•āĻžāϰ āĻĒāĻŖā§āϝ āĻ•āĻŋāύāϞ⧇āύāĨ¤
āϤāĻŋāύāĻŋ āĻŦāĻŋāĻ•ā§āϰāĻŋ āĻ•āϰāϞ⧇āύ—

  • āĻĒā§āϰāĻĨāĻŽ āĻĻāĻŋāύ⧇ (11001.1)₂ āϟāĻžāĻ•āĻž
  • āĻĻā§āĻŦāĻŋāĻ¤ā§€ā§Ÿ āĻĻāĻŋāύ⧇ (63.4)₈ āϟāĻžāĻ•āĻž
  • āϤ⧃āĻ¤ā§€ā§Ÿ āĻĻāĻŋāύ⧇ (A9.2)₁₆ āϟāĻžāĻ•āĻž

āϤāĻŋāύāĻŋ āϞāĻžāĻ­ āĻ•āϰāϞ⧇āύ āύāĻžāĻ•āĻŋ āĻ•ā§āώāϤāĻŋ?

ā§Ģ.āĻĻ⧁āχāϜāύ āĻĒāĻžāĻ°ā§āϟāύāĻžāϰ āĻŦā§āϝāĻŦāϏāĻžā§Ÿ āĻŦāĻŋāύāĻŋā§Ÿā§‹āĻ— āĻ•āϰāϞ⧇āύ—

  • āϰāĻžāĻļ⧇āĻĻ: (111010.01)₂ āϟāĻžāĻ•āĻž
  • āĻ•āĻžāĻŽāĻžāϞ: (512.7)₈ āϟāĻžāĻ•āĻž

āĻŽā§‹āϟ āĻŦāĻŋāύāĻŋā§Ÿā§‹āĻ— āĻŦāĻžāĻ‚āϞāĻž āϏāĻ‚āĻ–ā§āϝāĻžā§Ÿ āĻ•āϤ?

ā§Ŧ. āĻāĻ• āĻ•ā§ƒāώāĻ• āϤāĻžāϰ āĻĢāϏāϞ āĻŦāĻŋāĻ•ā§āϰāĻŋ āĻ•āϰ⧇ āĻ†ā§Ÿ āĻ•āϰāϞ⧇āύ—

  • āĻĒā§āϰāĻĨāĻŽ āĻŦāĻžāϜāĻžāϰ⧇: (10111.1)₂ āϟāĻžāĻ•āĻž
  • āĻĻā§āĻŦāĻŋāĻ¤ā§€ā§Ÿ āĻŦāĻžāϜāĻžāϰ⧇: (74.5)₈ āϟāĻžāĻ•āĻž
  • āϤ⧃āĻ¤ā§€ā§Ÿ āĻŦāĻžāϜāĻžāϰ⧇: (3F.A)₁₆ āϟāĻžāĻ•āĻž

āĻŽā§‹āϟ āĻ†ā§Ÿ āύāĻŋāĻ°ā§āϪ⧟ āĻ•āϰāĨ¤

ā§­. āĻāĻ• āĻĢāĻžāωāĻ¨ā§āĻĄā§‡āĻļāύ 50,000 āϟāĻžāĻ•āĻž āĻ…āύ⧁āĻĻāĻžāύ āĻĒ⧇āϞāĨ¤
āϤāĻžāϰāĻž āĻŦāĻŋāϤāϰāĻŖ āĻ•āϰāϞ—

  • āĻ¸ā§āϕ⧁āϞ ā§§: (110001.01)₂ āϟāĻžāĻ•āĻž
  • āĻ¸ā§āϕ⧁āϞ ⧍: (732.62)₈ āϟāĻžāĻ•āĻž
  • āĻ¸ā§āϕ⧁āϞ ā§Š: (BA3.4C)₁₆ āϟāĻžāĻ•āĻž

āĻ…āύ⧁āĻĻāĻžāύ āϝāĻĨ⧇āĻˇā§āϟ āĻ›āĻŋāϞ āĻ•āĻŋ?

ā§Ž. āĻāĻ• āϗ⧁āĻĻāĻžāĻŽā§‡ āϚāĻžāϞ āĻ›āĻŋāϞ 200 āĻŽāĻŖāĨ¤
āϏāĻ‚āϰāĻ•ā§āώāϪ⧇āϰ āϏāĻŽā§Ÿ āύāĻˇā§āϟ āĻšāϞ⧋—

  • (10110.1)₂ āĻŽāĻŖ
  • (63.2)₈ āĻŽāĻŖ
  • (2E.5)₁₆ āĻŽāĻŖ

āĻ•āϤ āĻŽāĻŖ āĻ…āĻŦāĻļāĻŋāĻˇā§āϟ āϰāχāϞ?

⧝.āĻāĻ• āĻŦā§āϝāĻŦāϏāĻžā§Ÿā§€ āĻĒāĻŖā§āϝ āφāĻŽāĻĻāĻžāύāĻŋ āĻ•āϰāϞ⧇āύ (1F4.AC)₁₆ āϟāĻžāĻ•āĻž
āφāϰ āĻļ⧁āĻ˛ā§āĻ• āĻĒāϰāĻŋāĻļā§‹āϧ āĻ•āϰāϞ⧇āύ—

  • (11101.1)₂ āϟāĻžāĻ•āĻž
  • (54.7)₈ āϟāĻžāĻ•āĻž

āĻŽā§‹āϟ āĻŦā§āϝ⧟ āύāĻŋāĻ°ā§āϪ⧟ āĻ•āϰāĨ¤

ā§§ā§Ļ. āĻāĻ• āĻ•ā§ƒāώāĻ• āϤāĻŋāύāϟāĻŋ āĻ—āϰ⧁ āĻŦāĻŋāĻ•ā§āϰāĻŋ āĻ•āϰ⧇ āĻĒ⧇āϞ⧇āύ—

  • (10011.01)₂ āϟāĻžāĻ•āĻž
  • (72.3)₈ āϟāĻžāĻ•āĻž
  • (C2.5)₁₆ āϟāĻžāĻ•āĻž

āĻŽā§‹āϟ āĻ•āϤ āϟāĻžāĻ•āĻž āĻĒ⧇āϞ⧇āύ?

ā§§ā§§. āĻāĻ• āĻŽāĻžāϞāĻŋāĻ• āĻ•āĻ°ā§āĻŽāϚāĻžāϰ⧀āĻĻ⧇āϰ āĻŦ⧇āϤāύ āĻĻāĻŋāϞ⧇āύ—

  • āĻļā§āϰāĻŽāĻŋāĻ• ā§§: (110010.11)₂ āϟāĻžāĻ•āĻž
  • āĻļā§āϰāĻŽāĻŋāĻ• ⧍: (465.54)₈ āϟāĻžāĻ•āĻž
  • āĻļā§āϰāĻŽāĻŋāĻ• ā§Š: (9A4.7B)₁₆ āϟāĻžāĻ•āĻž

āĻŽā§‹āϟ āĻ•āϤ āĻŦ⧇āϤāύ āĻĻ⧇āĻ“ā§ŸāĻž āĻšāϞ⧋?

⧧⧍.āĻŽā§‹āĻšāĻžāĻŽā§āĻŽāĻĻ ā§Š āϜāĻžā§ŸāĻ—āĻž āϜāĻŽāĻŋ āĻ•āĻŋāύāϞ⧇āύ—

  • (101001.1)₂ āĻŦāĻŋāϘāĻž
  • (65.3)₈ āĻŦāĻŋāϘāĻž
  • (2F.4)₁₆ āĻŦāĻŋāϘāĻž

āĻŽā§‹āϟ āĻ•āϤ āϜāĻŽāĻŋ āĻ•āĻŋāύāϞ⧇āύ?

ā§§ā§Š. āϧāĻžāύ āĻ‰ā§ŽāĻĒāĻžāĻĻāύ āĻšāϞ⧋—

  • (11110.01)₂ āĻŽāĻŖ
  • (54.4)₈ āĻŽāĻŖ
  • (3A.2)₁₆ āĻŽāĻŖ

āĻŽā§‹āϟ āĻ‰ā§ŽāĻĒāĻžāĻĻāύ āύāĻŋāĻ°ā§āϪ⧟ āĻ•āϰāĨ¤

ā§§ā§Ē. āĻāĻ•āϜāύ āĻŦā§āϝāĻŦāϏāĻžā§Ÿā§€āϰ āĻ•ā§āώāϤāĻŋ āĻšāϞ⧋—

  • (10101.1)₂ āϟāĻžāĻ•āĻž
  • (62.5)₈ āϟāĻžāĻ•āĻž
  • (B3.4)₁₆ āϟāĻžāĻ•āĻž

āĻŽā§‹āϟ āĻ•ā§āώāϤāĻŋ āĻ•āϤ?

ā§§ā§Ģ.āĻāĻ• āĻ›āĻžāĻ¤ā§āϰ⧇āϰ āϝāĻžāϤāĻžā§ŸāĻžāϤ āĻ–āϰāϚ—

  • āĻŦāĻžāϏ āĻ­āĻžā§œāĻž: (1110.11)₂ āϟāĻžāĻ•āĻž
  • āϰāĻŋāĻ•āĻļāĻž: (14.6)₈ āϟāĻžāĻ•āĻž
  • āĻŸā§āϰ⧇āύ: (2C.1)₁₆ āϟāĻžāĻ•āĻž

āĻŽā§‹āϟ āĻ–āϰāϚ āĻŦ⧇āϰ āĻ•āϰāĨ¤

ā§§ā§Ŧ. āĻāĻ• āĻĒāϰāĻŋāĻŦāĻžāϰ⧇āϰ āĻĒāĻžāύāĻŋāϰ āĻŦāĻŋāϞ āĻāϏ⧇āϛ⧇—

  • (11001.1)₂ āϟāĻžāĻ•āĻž
  • (43.3)₈ āϟāĻžāĻ•āĻž
  • (A1.2)₁₆ āϟāĻžāĻ•āĻž

āĻŽā§‹āϟ āĻŦāĻŋāϞ āύāĻŋāĻ°ā§āϪ⧟ āĻ•āϰāĨ¤

ā§§ā§­. āĻāĻ• āĻĢāϞ āĻŦāĻŋāĻ•ā§āϰ⧇āϤāĻž āĻ†ā§Ÿ āĻ•āϰāϞ⧇āύ—

  • āφāĻŽ: (10101.11)₂ āϟāĻžāĻ•āĻž
  • āĻ•āϞāĻž: (63.5)₈ āϟāĻžāĻ•āĻž
  • āĻĒā§‡ā§ŸāĻžāϰāĻž: (8D.A)₁₆ āϟāĻžāĻ•āĻž

āĻŽā§‹āϟ āĻ†ā§Ÿ āύāĻŋāĻ°ā§āϪ⧟ āĻ•āϰāĨ¤

ā§§ā§Ž.āĻāĻ• āĻ•āĻžāϰāĻ–āĻžāύāĻžā§Ÿ āĻœā§āĻŦāĻžāϞāĻžāύāĻŋ āĻ–āϰāϚ āĻšāϞ⧋—

  • (11101.01)₂ āϟāĻžāĻ•āĻž
  • (72.4)₈ āϟāĻžāĻ•āĻž
  • (CD.5)₁₆ āϟāĻžāĻ•āĻž

āĻŽā§‹āϟ āĻ–āϰāϚ āύāĻŋāĻ°ā§āϪ⧟ āĻ•āϰāĨ¤

⧧⧝.āĻāĻ• āĻ•ā§ƒāώāϕ⧇āϰ āĻŸā§āϰāĻžāĻ•ā§āϟāϰ āĻŽā§‡āϰāĻžāĻŽāϤ⧇ āĻ–āϰāϚ āĻšāϞ⧋—

  • (10011.1)₂ āϟāĻžāĻ•āĻž
  • (51.7)₈ āϟāĻžāĻ•āĻž
  • (9E.3)₁₆ āϟāĻžāĻ•āĻž

āĻŽā§‹āϟ āĻ•āϤ āĻ–āϰāϚ āĻšāϞ⧋?

⧍ā§Ļ. āĻāĻ• āĻĻā§‹āĻ•āĻžāύāĻĻāĻžāϰ ā§Š āĻĻāĻŋāύ⧇ āĻŽā§āύāĻžāĻĢāĻž āĻ•āϰāϞ⧇āύ—

  • (11100.01)₂ āϟāĻžāĻ•āĻž
  • (64.2)₈ āϟāĻžāĻ•āĻž
  • (A7.9)₁₆ āϟāĻžāĻ•āĻž

āĻŽā§‹āϟ āĻŽā§āύāĻžāĻĢāĻž āύāĻŋāĻ°ā§āϪ⧟ āĻ•āϰāĨ¤

 

19 Oct, 2025

āĻ“ā§Ÿā§‡āĻŦ āĻ•āĻžāĻ āĻžāĻŽā§‹ āϏāĻŽā§āĻĒāĻ°ā§āĻ•āĻŋāϤ āϏ⧃āϜāύāĻļā§€āϞ āĻ…āĻ‚āĻļ⧇āϰ āĻŦāĻžā§œāĻŋāϰ āĻ•āĻžāϜ

đŸˇī¸ āĻŦāĻŋāώ⧟: āϤāĻĨā§āϝ āĻ“ āϝ⧇āĻžāĻ—āĻžāϝ⧋āĻ— āĻĒā§āϰāϝ⧁āĻ•ā§āϤāĻŋ 🎓 āĻļā§āϰ⧇āĻŖā§€: — 📅 āĻļ⧇āώ āϤāĻžāϰāĻŋāĻ–: 2025-10-19

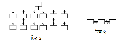
āĻĒā§āϰāĻļā§āύ-ā§§ :

āĻ•. āĻ¸ā§āĻŸā§āϝāĻžāϟāĻŋāĻ• āĻ“ā§Ÿā§‡āĻŦāĻĒ⧇āϜ āϕ⧀? 

āĻ–.  āύāĻŋāĻ°ā§āĻĻāĻŋāĻˇā§āϟ āĻ“ā§Ÿā§‡āĻŦāĻĒ⧇āϜāϗ⧁āϞ⧋ āϖ⧁āρāĻœā§‡ āĻĒāĻžāĻ“ā§ŸāĻžāϰ āωāĻĒāĻžā§Ÿ āĻŦāĻŋāĻļā§āϞ⧇āώāĻŖ āĻ•āϰ⧋āĨ¤

āϘ.  āωāĻĻā§āĻĻā§€āĻĒāϕ⧇āϰ āĻĻ⧃āĻļā§āϝāĻ•āĻ˛ā§āĻĒ-⧍ āĻāϰ āϚāĻŋāĻ¤ā§āϰ-ā§§ āĻ“ āϚāĻŋāĻ¤ā§āϰ-⧍ āĻāϰ āĻ•āĻžāĻ āĻžāĻŽā§‹ āĻĻ⧁āϟāĻŋāϰ āĻŽāĻ§ā§āϝ⧇ āϕ⧋āύāϟāĻŋ āϏ⧁āĻŦāĻŋāϧāĻžāϜāύāĻ• ? āĻŽāϤāĻžāĻŽāϤ āĻĻāĻžāĻ“āĨ¤

āĻĒā§āϰāĻļā§āύ-⧍:  āϏāĻĢāϟāĻ“ā§Ÿā§āϝāĻžāϰ āϕ⧋āĻŽā§āĻĒāĻžāύāĻŋ SAGC āĻĒā§āϰāϤāĻŋāĻˇā§āĻ āĻžāύ⧇āϰ āĻ“ā§Ÿā§‡āĻŦ āϏāĻžāχāĻŸā§‡āϰ āϜāĻ¨ā§āϝ āύāĻŋāĻŽā§āύ⧇ āĻĒā§āϰāĻĻāĻ¤ā§āϤ āĻĻ⧁āχāϟāĻŋ āĻ•āĻžāĻ āĻžāĻŽā§‹ āϏ⧁āĻĒāĻžāϰāĻŋāĻļ āĻ•āϰāϞ⧇, āĻ…āĻ§ā§āϝāĻ•ā§āώ āĻŽāĻšā§‹āĻĻ⧟ āĻšā§‹āĻŽ āĻĒ⧇āχāĻœā§‡ āύāĻŋÂ¤ā§‡Å“āϰ āϤāĻžāϞāĻŋāĻ•āĻžāϟāĻŋ āϏāĻ‚āϝ⧋āϜāύ⧇āϰ āύāĻŋāĻ°ā§āĻĻ⧇āĻļ āĻĻ⧇āύāĨ¤ āϝ⧇āĻ–āĻžāύ⧇ āϤāĻžāϞāĻŋāĻ•āĻžāϟāĻŋ āϝāĻĨāĻžāĻ•ā§āϰāĻŽā§‡ pge3.html, page4.html āĻāĻŦāĻ‚ page7.html āύāĻžāĻŽāĻ• āĻĢāĻžāχāϞ⧇āϰ āϏāĻžāĻĨ⧇ āϏāĻ‚āϝ⧁āĻ•ā§āϤ āĻĨāĻžāĻ•āĻŦ⧇āĨ¤

 

āĻ•. āĻ“ā§Ÿā§‡āĻŦ āĻĒāĻžāĻŦāϞāĻŋāĻļāĻŋāĻ‚ āϕ⧀?   

āĻ–.  āĻ“ā§Ÿā§‡āĻŦ āĻĒ⧇āχāϜ āϤ⧈āϰāĻŋāϤ⧇ HTMLāĻŦā§āϝāĻŦāĻšāĻžāϰ āĻ•āϰāĻž āĻšā§Ÿ āϕ⧇āύ?

āϘ.  āĻ“ā§Ÿā§‡āĻŦ āϏāĻžāχāϟāϟāĻŋ āϤ⧈āϰāĻŋāϰ āϜāĻ¨ā§āϝ āωāĻĻā§āĻĻā§€āĻĒāϕ⧇āϰ āϕ⧋āύ āĻ•āĻžāĻ āĻžāĻŽā§‹āϟāĻŋ āϤ⧁āĻŽāĻŋ āωāĻĒāϝ⧁āĻ•ā§āϤ āĻŽāύ⧇ āĻ•āϰ? āϤ⧋āĻŽāĻžāϰ āĻŽāϤāĻžāĻŽāϤ⧇āϰ āĻ¸ā§āĻŦāĻĒāĻ•ā§āώ⧇ āϝ⧁āĻ•ā§āϤāĻŋ āĻĻāĻžāĻ“āĨ¤    

āĻĒā§āϰāĻļā§āύ-ā§Š:  āĻĻ⧁āχ āĻŦāĻ¨ā§āϧ⧁ āφāύāĻŋāϏ āĻāĻŦāĻ‚ āχāĻ•āĻŦāĻžāϞ āĻ“ā§Ÿā§‡āĻŦāĻĒ⧇āχāϜ āϤ⧈āϰāĻŋāϰ āĻĒā§āϰāĻļāĻŋāĻ•ā§āώāĻŖ āĻ¨ā§‡ā§ŸāĨ¤ āφāύāĻŋāϏ āϚāĻŋāĻ¤ā§āϰ-ā§§ āĻāĻŦāĻ‚ āχāĻ•āĻŦāĻžāϞ āϚāĻŋāĻ¤ā§āϰ-⧍ āύāĻ‚ āĻ•āĻžāĻ āĻžāĻŽā§‹ āĻŦ⧇āϛ⧇ āύāĻŋā§Ÿā§‡ āĻ“ā§Ÿā§‡āĻŦāĻĒ⧇āχāϜ āϤ⧈āϰāĻŋ āĻ•āϰ⧇āĨ¤

 

āĻ•. āφāχāĻĒāĻŋ āĻāĻĄā§āϰ⧇āϏ āϕ⧀?

āĻ–.  āĻ“ā§Ÿā§‡āĻŦāĻĒ⧇āχāĻœā§‡āϰ āϏāĻžāĻĨ⧇ āĻŦā§āϰāĻžāωāϜāĻžāϰ⧇āϰ āϏāĻŽā§āĻĒāĻ°ā§āĻ• āĻŦā§āϝāĻžāĻ–ā§āϝāĻž āĻ•āϰāĨ¤

āĻ—.  āχāĻ•āĻŦāĻžāϞ⧇āϰ āĻ“ā§Ÿā§‡āĻŦāĻĒ⧇āχāϜ āĻ¸ā§āĻŸā§āϰāĻžāĻ•āϚāĻžāϰ āĻļāύāĻžāĻ•ā§āϤ āĻ•āϰ⧇ āĻŦā§āϝāĻžāĻ–ā§āϝāĻž āĻ•āϰāĨ¤

āϘ.  āωāĻĻā§āĻĻā§€āĻĒāϕ⧇āϰ āĻ¸ā§āĻŸā§āϰāĻžāĻ•āϚāĻžāϰ āĻĻ⧁āϟāĻŋāϰ āĻŽāĻ§ā§āϝ⧇ āϕ⧋āύāϟāĻŋāϰ āĻŦā§āϝāĻŦāĻšāĻžāϰ āĻ…āϧāĻŋāĻ• āϏ⧁āĻŦāĻŋāϧāĻžāϜāύāϕāĻŦāĻŋāĻļā§āϞ⧇āώāĻŖāĻĒā§‚āĻ°ā§āĻŦāĻ• āĻŽāϤāĻžāĻŽāϤ āĻĻāĻžāĻ“āĨ¤

āĻĒā§āϰāĻļā§āύ-ā§Ē:  āφāχāϏāĻŋāϟāĻŋ āĻļāĻŋāĻ•ā§āώāĻ• āύāĻžāϜāĻŽāĻž āĻŽā§āϝāĻžāĻĄāĻžāĻŽ āĻ“ā§Ÿā§‡āĻŦāĻĒ⧇āϜ āϤ⧈āϰāĻŋāϰ āϜāĻ¨ā§āϝ āĻļāĻŋāĻ•ā§āώāĻžāĻ°ā§āĻĨā§€āĻĻ⧇āϰ āύāĻŋāĻšā§‡āϰ āϚāĻŋāĻ¤ā§āϰ⧇āϰ āĻŽāϤ⧋ āĻ“ā§Ÿā§‡āĻŦāĻĒ⧇āϜ āĻ•āĻžāĻ āĻžāĻŽā§‹āϰ āĻĒāϰāĻžāĻŽāĻ°ā§āĻļ āĻĻāĻŋāϞ⧇āύāĨ¤ āĻļāĻŋāĻ•ā§āώāĻžāĻ°ā§āĻĨā§€āĻĻ⧇āϰ āĻŽāĻ§ā§āϝ⧇ āĻ…āĻšāύāĻž āϚāĻŋāĻ¤ā§āϰ-ā§§ āĻāĻŦāĻ‚ āĻ…āϰāĻŋāĻ¤ā§āϰ āϚāĻŋāĻ¤ā§āϰ-⧍ āύāĻ‚ āĻ•āĻžāĻ āĻžāĻŽā§‹ āĻŦ⧇āϛ⧇ āύāĻŋā§Ÿā§‡ āĻ“ā§Ÿā§‡āĻŦāĻĒ⧇āϜ āϤ⧈āϰāĻŋ āĻ•āϰāϞāĨ¤ 

 

āĻ•. āĻ“ā§Ÿā§‡āĻŦāϏāĻžāχāϟ āĻĒāĻžāĻŦāϞāĻŋāĻļāĻŋāĻ‚ āϕ⧀? 

āĻ–.  āĻĄā§‹āĻŽā§‡āχāύ āύ⧇āĻŽ āϰ⧇āϜāĻŋāĻˇā§āĻŸā§āϰ⧇āĻļāύ āĻ•āϰāϤ⧇ āĻšā§Ÿ āϕ⧇āύ? 

āĻ—.  āĻ…āĻšāύāĻžāϰ āĻ“ā§Ÿā§‡āĻŦāĻĒ⧇āϜ āĻ¸ā§āĻŸā§āϰāĻžāĻ•āϚāĻžāϰāϟāĻŋ āĻļāύāĻžāĻ•ā§āϤ āĻ•āϰ⧇ āĻŦā§āϝāĻžāĻ–ā§āϝāĻž āĻ•āϰāĨ¤ 

āϘ.  āωāĻĻā§āĻĻā§€āĻĒāϕ⧇āϰ āĻ¸ā§āĻŸā§āϰāĻžāĻ•āϚāĻžāϰ āĻĻ⧁āϟāĻŋāϰ āĻŽāĻ§ā§āϝ⧇ āϕ⧋āύāϟāĻŋ āĻ¸ā§āĻŦāĻžāĻšā§āĻ›āĻ¨ā§āĻĻā§āϝ⧇ āĻŦā§āϝāĻŦāĻšāĻžāϰ āĻ•āϰāĻž āϝāĻžā§Ÿ ?

āĻĒā§āϰāĻļā§āύ-ā§Ģ: āφāχāϏāĻŋāϟāĻŋ āĻļāĻŋāĻ•ā§āώāĻ• āϏāĻžāϞāĻŽāĻž āĻŽā§āϝāĻžāĻĄāĻžāĻŽ āĻ“ā§Ÿā§‡āĻŦāĻĒ⧇āχāϜ āϤ⧈āϰāĻŋ āĻ•āϰāĻžāϰ āϜāĻ¨ā§āϝ āĻļāĻŋāĻ•ā§āώāĻžāĻ°ā§āĻĨā§€āĻĻ⧇āϰ āύāĻŋāĻšā§‡āϰ āϚāĻŋāĻ¤ā§āϰ⧇āϰ āĻŽāϤ āĻ“ā§Ÿā§‡āĻŦāĻĒ⧇āχāϜ āĻ•āĻžāĻ āĻžāĻŽā§‹āϰ āĻĒāϰāĻžāĻŽāĻ°ā§āĻļ āĻĻāĻŋāϞ⧇āύāĨ¤ āĻļāĻŋāĻ•ā§āώāĻžāĻ°ā§āĻĨā§€āĻĻ⧇āϰ āĻŽāĻ§ā§āϝ⧇ āϰāĻŋāĻĢāĻžāĻš āϚāĻŋāĻ¤ā§āϰ-ā§§ āĻāĻŦāĻ‚ āϰ⧁āĻĻāĻŦāĻž āϚāĻŋāĻ¤ā§āϰ-⧍ āύāĻ‚ āĻ•āĻžāĻ āĻžāĻŽā§‹ āĻŦ⧇āϛ⧇ āύāĻŋā§Ÿā§‡ āĻ“ā§Ÿā§‡āĻŦāĻĒ⧇āχāϜ āϤ⧈āϰāĻŋ āĻ•āϰāϞāĨ¤

 

āĻ•. āĻ…ā§āϝāĻžāĻŸā§āϰāĻŋāĻŦāĻŋāωāϟ āϕ⧀? 

āĻ–.  āĻ“ā§Ÿā§‡āĻŦāĻĒ⧇āĻœā§‡āϰ āϏāĻžāĻĨ⧇ āĻŦā§āϰāĻžāωāϜāĻžāϰ⧇āϰ āϏāĻŽā§āĻĒāĻ°ā§āĻ• āĻŦā§āϝāĻžāĻ–ā§āϝāĻž āĻ•āϰāĨ¤

āĻ—.  āϰāĻŋāĻĢāĻžāϰ āĻ“ā§Ÿā§‡āĻŦāĻĒ⧇āχāϜ āĻ¸ā§āĻŸā§āϰāĻžāĻ•āϚāĻžāϰāϟāĻŋ āĻļāύāĻžāĻ•ā§āϤ āĻ•āϰ⧇ āĻŦā§āϝāĻžāĻ–ā§āϝāĻž āĻ•āϰāĨ¤

āϘ.  āωāĻĻā§āĻĻā§€āĻĒāϕ⧇ āĻ¸ā§āĻŸā§āϰāĻžāĻ•āϚāĻžāϰ āĻĻ⧁āϟāĻŋāϰ āĻŽāĻ§ā§āϝ⧇ āϰ⧁āĻĻāĻŦāĻžâ€™āϰ āĻ¸ā§āĻŸā§āϰāĻžāĻ•āϚāĻžāϰāϟāĻŋ āĻ¸ā§āĻŦāĻžāĻšā§āĻ›āĻ¨ā§āĻĻ⧇ āĻŦā§āϝāĻŦāĻšāĻžāϰ āĻ•āϰāĻž āϝāĻžā§Ÿ-āĻŦāĻŋāĻļā§āϞ⧇āώāĻŖāĻĒā§‚āĻ°ā§āĻŦāĻ• āĻŽāϤāĻžāĻŽāϤ āĻĻāĻžāĻ“āĨ¤

āĻĒā§āϰāĻļā§āύ-ā§Ŧ:  

āĻ•. Hyper Link āϕ⧀?

āĻ–.  IP-Address  āĻ•āĻŽā§āĻĒāĻŋāωāϟāĻžāϰ⧇āϰ āϜāĻ¨ā§āϝ āϏ⧁āĻŦāĻŋāϧāĻžāϜāύāĻ•-āĻŦā§āϝāĻžāĻ–ā§āϝāĻž āĻ•āϰāĨ¤

āĻ—.  āϚāĻŋāĻ¤ā§āϰ-ā§§ āĻ āĻŦāĻ°ā§āĻŖāĻŋāϤ āĻ•āĻžāĻ āĻžāĻŽā§‹āϟāĻŋ āĻŦā§āϝāĻžāĻ–ā§āϝāĻž āĻ•āϰāĨ¤

āϘ.  āωāĻĻā§āĻĻā§€āĻĒāϕ⧇ āωāĻ˛ā§āϞ⧇āĻ–āĻŋāϤ āϚāĻŋāĻ¤ā§āϰ-ā§§ āĻ“ āϚāĻŋāĻ¤ā§āϰ-⧍ āĻ•āĻžāĻ āĻžāĻŽā§‹ āĻĻā§â€™āϟāĻŋāϰ āĻŽāĻ§ā§āϝ⧇ āϕ⧋āύāϟāĻŋ āϏ⧁āĻŦāĻŋāϧāĻžāϜāύāĻ• āĻŽāϤāĻžāĻŽāϤ⧇āϰ āĻ¸ā§āĻŦāĻĒāĻ•ā§āώ⧇ āϝ⧁āĻ•ā§āϤāĻŋ āĻĻāĻžāĻ“āĨ¤

18 Oct, 2025

āϰ⧋āϧ, āĻĒāϰāĻŋāĻŦāĻžāĻšāĻŋāϤāĻž āĻ“ āϤāĻžāĻĒāĻŽāĻžāĻ¤ā§āϰāĻžāϰ āĻĒā§āϰāĻ­āĻžāĻŦ ā§Šā§ĻāϟāĻŋ āωāĻ¨ā§āύāϤ āĻŽāĻžāύ⧇āϰ āĻ—āĻžāĻŖāĻŋāϤāĻŋāĻ• āĻĒā§āϰāĻļā§āύ

đŸˇī¸ āĻŦāĻŋāώ⧟: āĻĒāĻĻāĻžāĻ°ā§āĻĨ āĻŦāĻŋāĻœā§āĻžāĻžāύ āĻĻā§āĻŦāĻŋāĻ¤ā§€ā§Ÿ āĻĒāĻ¤ā§āϰ 🎓 āĻļā§āϰ⧇āĻŖā§€: āχāĻ¨ā§āϟāĻžāϰ āĻĻā§āĻŦāĻŋāĻ¤ā§€ā§Ÿ āĻŦāĻ°ā§āώ 📅 āĻļ⧇āώ āϤāĻžāϰāĻŋāĻ–: 2025-10-18

 

  1. ā§§. ⧍ā§Ģ°C āϤāĻžāĻĒāĻŽāĻžāĻ¤ā§āϰāĻžā§Ÿ āĻāĻ•āϟāĻŋ āϟāĻžāĻ‚āĻ¸ā§āĻŸā§‡āύ āϤāĻžāϰ⧇āϰ āϰ⧋āϧ ā§Ŧā§Ģ ΩāĨ¤ āϝāĻĻāĻŋ āϟāĻžāĻ‚āĻ¸ā§āĻŸā§‡āύ⧇āϰ āϰ⧋āϧ⧇āϰ āϤāĻžāĻĒāĻŽāĻžāĻ¤ā§āϰāĻž āϏāĻšāĻ— ā§Ģ.ā§§ × ā§§ā§Ļâģ³ °Câģ¹ āĻšā§Ÿ, āϤāĻŦ⧇ ⧍ā§Ļā§Ļ°C āϤāĻžāĻĒāĻŽāĻžāĻ¤ā§āϰāĻžā§Ÿ āϤāĻžāϰ āϰ⧋āϧ āύāĻŋāĻ°ā§āϪ⧟ āĻ•āϰ⧋āĨ¤
  2. ⧍. āĻāĻ•āϟāĻŋ āϤāĻžāĻŽāĻžāϰ āϤāĻžāϰ⧇āϰ āϰ⧋āϧ ā§Ļ°C āϤ⧇ ā§§ā§Ļ ΩāĨ¤ āϤāĻžāĻŽāĻžāϰ āϤāĻžāĻĒāĻŽāĻžāĻ¤ā§āϰāĻž āϏāĻšāĻ— ā§Ļ.ā§Ļā§Ļā§Ē/°C āĻšāϞ⧇ ā§§ā§Ļā§Ļ°C āϤ⧇ āϤāĻžāϰ āϰ⧋āϧ āĻ•āϤ āĻšāĻŦ⧇ āύāĻŋāĻ°ā§āϪ⧟ āĻ•āϰ⧋āĨ¤
  3. ā§Š. ⧍ā§Ģ°C āϤ⧇ āĻāĻ•āϟāĻŋ āύāĻŋāĻ•ā§āϰ⧋āĻŽ āϤāĻžāϰ⧇āϰ āϰ⧋āϧ ā§Ēā§Ļ Ω āĻāĻŦāĻ‚ ā§§ā§Ģā§Ļ°C āϤ⧇ ā§Ģ⧍ Ω āĻšāϞ⧇ āϤāĻžāϰ āϤāĻžāĻĒāĻŽāĻžāĻ¤ā§āϰāĻž āϏāĻšāĻ— āύāĻŋāĻ°ā§āϪ⧟ āĻ•āϰ⧋āĨ¤
  4. ā§Ē. ⧍ā§Ļ°C āϤ⧇ āϞ⧋āĻšāĻžāϰ āϰ⧋āϧ ā§Šā§Ļ Ω āĻāĻŦāĻ‚ ā§Žā§Ļ°C āϤ⧇ ā§Šā§­.⧍ Ω āĻšāϞ⧇, ā§Ļ°C āϤ⧇ āϤāĻžāϰ āϰ⧋āϧ āĻ•āϤ āĻšāĻŦ⧇ āϤāĻž āĻŦ⧇āϰ āĻ•āϰ⧋āĨ¤
  5. ā§Ģ. āĻāĻ•āϟāĻŋ āϧāĻžāϤ⧁āϰ āϤāĻžāĻĒāĻŽāĻžāĻ¤ā§āϰāĻž āϏāĻšāĻ— ā§Ļ.ā§Ļā§Ļā§Ē/°C āĻšāϞ⧇, āϕ⧋āύ āϤāĻžāĻĒāĻŽāĻžāĻ¤ā§āϰāĻžā§Ÿ āϤāĻžāϰ āϰ⧋āϧ āĻĻā§āĻŦāĻŋāϗ⧁āĻŖ āĻšāĻŦ⧇ āϤāĻž āύāĻŋāĻ°ā§āϪ⧟ āĻ•āϰ⧋āĨ¤
  6. ā§Ŧ. āĻāĻ•āϟāĻŋ āϤāĻžāĻŽāĻžāϰ āϤāĻžāϰ⧇āϰ āφāĻĒ⧇āĻ•ā§āώāĻŋāĻ• āϰ⧋āϧ ā§§.ā§­×ā§§ā§Ļâģâ¸Ω·m āĻšāϞ⧇, āϤāĻžāϰ āĻĒāϰāĻŋāĻŦāĻžāĻšāĻŋāϤāĻž āĻ•āϤ āĻšāĻŦ⧇ āϤāĻž āύāĻŋāĻ°ā§āϪ⧟ āĻ•āϰ⧋āĨ¤
  7. ā§­. āĻāĻ•āϟāĻŋ āϧāĻžāϤāĻŦ āϤāĻžāϰ⧇āϰ āĻĻ⧈āĻ°ā§āĻ˜ā§āϝ ⧍ m, āĻ•ā§āώ⧇āĻ¤ā§āϰāĻĢāϞ ā§Ļ.ā§Ģ×ā§§ā§Ļâģ⁴ m² āĻāĻŦāĻ‚ āφāĻĒ⧇āĻ•ā§āώāĻŋāĻ• āϰ⧋āϧ ⧍×ā§§ā§Ļâģ⁡ Ω·m āĻšāϞ⧇, āϰ⧋āϧ āĻ•āϤ āĻšāĻŦ⧇ āϤāĻž āύāĻŋāĻ°ā§āϪ⧟ āĻ•āϰ⧋āĨ¤
  8. ā§Ž. āĻāĻ•āϟāĻŋ āϤāĻžāϰ⧇āϰ āĻĻ⧈āĻ°ā§āĻ˜ā§āϝ āĻĻā§āĻŦāĻŋāϗ⧁āĻŖ āĻ•āϰāĻž āĻšāϞ⧇ āĻāĻŦāĻ‚ āĻŦā§āϝāĻžāϏ āĻ…āĻĒāϰāĻŋāĻŦāĻ°ā§āϤāĻŋāϤ āĻĨāĻžāĻ•āϞ⧇, āϰ⧋āϧ āĻ•āϤ āϗ⧁āĻŖ āĻĒāϰāĻŋāĻŦāĻ°ā§āϤāĻŋāϤ āĻšāĻŦ⧇ āϤāĻž āĻŦāĻŋāĻļā§āϞ⧇āώāĻŖ āĻ•āϰ⧋āĨ¤
  9. ⧝. āĻāĻ•āχ āĻĒāĻĻāĻžāĻ°ā§āĻĨ⧇āϰ āĻĻ⧁āϟāĻŋ āϤāĻžāϰ⧇āϰ āĻĻ⧈āĻ°ā§āĻ˜ā§āϝ āϝāĻĨāĻžāĻ•ā§āϰāĻŽā§‡ ā§§ m āĻ“ ⧍ m āĻāĻŦāĻ‚ āĻ•ā§āώ⧇āĻ¤ā§āϰāĻĢāϞ āϝāĻĨāĻžāĻ•ā§āϰāĻŽā§‡ ā§Ē×ā§§ā§Ļâģâļ m² āĻ“ ⧍×ā§§ā§Ļâģâļ m² āĻšāϞ⧇, āϤāĻžāĻĻ⧇āϰ āϰ⧋āϧ⧇āϰ āĻ…āύ⧁āĻĒāĻžāϤ āύāĻŋāĻ°ā§āϪ⧟ āĻ•āϰ⧋āĨ¤
  10. ā§§ā§Ļ. āĻāĻ•āϟāĻŋ āϧāĻžāϤāĻŦ āϤāĻžāϰ⧇āϰ āĻŦā§āϝāĻžāϏ ā§§ mm āĻāĻŦāĻ‚ āĻĻ⧈āĻ°ā§āĻ˜ā§āϝ ⧍ m āĻšāϞ⧇, āφāĻĒ⧇āĻ•ā§āώāĻŋāĻ• āϰ⧋āϧ ā§§.ā§­×ā§§ā§Ļâģâ¸Ω·m āϧāϰ⧇ āϰ⧋āϧ āύāĻŋāĻ°ā§āϪ⧟ āĻ•āϰ⧋āĨ¤
  11. ā§§ā§§. āĻ“āĻšāĻŽā§‡āϰ āϏ⧂āĻ¤ā§āϰ āĻŦā§āϝāĻžāĻ–ā§āϝāĻž āĻ•āϰ⧋ āĻāĻŦāĻ‚ ā§§ā§Ļ V āĻŦāĻŋāĻ­āĻŦ āĻĒāĻžāĻ°ā§āĻĨāĻ•ā§āϝ⧇ ⧍ A āϤ⧜āĻŋā§Ž āĻĒā§āϰāĻŦāĻžāĻšāĻŋāϤ āĻšāϞ⧇ āϰ⧋āϧ āĻ•āϤ āĻšāĻŦ⧇ āϤāĻž āύāĻŋāĻ°ā§āϪ⧟ āĻ•āϰ⧋āĨ¤
  12. ⧧⧍. āĻāĻ•āϟāĻŋ āϰ⧋āϧ⧇ ⧧⧍ V āĻĒā§āĻ°ā§Ÿā§‹āĻ— āĻ•āϰāϞ⧇ ā§Š A āϤ⧜āĻŋā§Ž āĻĒā§āϰāĻŦāĻžāĻšāĻŋāϤ āĻšā§ŸāĨ¤ āϏ⧇āχ āϰ⧋āϧ⧇āϰ āĻŽāĻžāύ āύāĻŋāĻ°ā§āϪ⧟ āĻ•āϰ⧋ āĻāĻŦāĻ‚ āϤāĻžāϰ āĻ“āĻšāĻŽāĻŋāĻ• āĻĒā§āϰāĻ•ā§ƒāϤāĻŋ āĻŦā§āϝāĻžāĻ–ā§āϝāĻž āĻ•āϰ⧋āĨ¤
  13. ā§§ā§Š. āĻāĻ•āϟāĻŋ āϤāĻžāĻŽāĻžāϰ āϤāĻžāϰ⧇āϰ āĻĻ⧈āĻ°ā§āĻ˜ā§āϝ ā§§ m āĻāĻŦāĻ‚ āĻ•ā§āώ⧇āĻ¤ā§āϰāĻĢāϞ ā§§×ā§§ā§Ļâģâļ m² āĻšāϞ⧇, āϤāĻžāϰ āϰ⧋āϧ āĻ•āϤ āĻšāĻŦ⧇ āϝāĻ–āύ āφāĻĒ⧇āĻ•ā§āώāĻŋāĻ• āϰ⧋āϧ ā§§.ā§Ŧ×ā§§ā§Ļâģâ¸Ω·m?
  14. ā§§ā§Ē. ā§§.ā§Ģā§Ŧ×ā§§ā§Ļâģ⁸ Ω·m āϕ⧇ Ω·cm-āĻ āϰ⧂āĻĒāĻžāĻ¨ā§āϤāϰ āĻ•āϰ⧋ āĻāĻŦāĻ‚ āĻāϰ āĻŦā§āϝāĻŦāĻšāĻžāϰāĻŋāĻ• āĻ…āĻ°ā§āĻĨ āĻŦā§āϝāĻžāĻ–ā§āϝāĻž āĻ•āϰ⧋āĨ¤
  15. ā§§ā§Ģ. āĻāĻ•āϟāĻŋ āĻĒāϰāĻŋāĻŦāĻžāĻšāϕ⧇āϰ āĻ•ā§āώ⧇āĻ¤ā§āϰāĻĢāϞ āĻĻā§āĻŦāĻŋāϗ⧁āĻŖ āĻ•āϰāϞ⧇ āϰ⧋āϧ āĻ•āϤ āϗ⧁āĻŖ āĻĒāϰāĻŋāĻŦāĻ°ā§āϤāĻŋāϤ āĻšāĻŦ⧇ āϤāĻž āύāĻŋāĻ°ā§āϪ⧟ āĻ•āϰ⧋ āĻāĻŦāĻ‚ āĻ•āĻžāϰāĻŖ āĻŦā§āϝāĻžāĻ–ā§āϝāĻž āĻ•āϰ⧋āĨ¤
  16. ā§§ā§Ŧ. āĻāĻ•āϟāĻŋ āϧāĻžāϤāĻŦ āϤāĻžāϰ⧇ ⧍ā§Ģ°C āĻĨ⧇āϕ⧇ ā§­ā§Ģ°C āĻĒāĻ°ā§āϝāĻ¨ā§āϤ āϤāĻžāĻĒāĻŽāĻžāĻ¤ā§āϰāĻž āĻŦ⧃āĻĻā§āϧāĻŋāϤ⧇ āϰ⧋āϧ ⧍ā§Ļ% āĻŦā§‡ā§œā§‡ āϝāĻžā§ŸāĨ¤ āϤāĻžāϰ āϤāĻžāĻĒāĻŽāĻžāĻ¤ā§āϰāĻž āϏāĻšāĻ— āύāĻŋāĻ°ā§āϪ⧟ āĻ•āϰ⧋āĨ¤
  17. ā§§ā§­. ā§Ļ°C āĻ“ ā§§ā§Ļā§Ļ°C āϤ⧇ āϕ⧋āύ⧋ āϧāĻžāϤ⧁āϰ āϰ⧋āϧ āϝāĻĨāĻžāĻ•ā§āϰāĻŽā§‡ ā§Ģā§Ļ Ω āĻ“ ā§Ŧā§Ģ Ω āĻšāϞ⧇, āϤāĻžāĻĒāĻŽāĻžāĻ¤ā§āϰāĻž āϏāĻšāĻ— āύāĻŋāĻ°ā§āϪ⧟ āĻ•āϰ⧋ āĻāĻŦāĻ‚ ⧍ā§Ļā§Ļ°C āϤ⧇ āϰ⧋āϧ āĻ•āϤ āĻšāĻŦ⧇ āϤāĻž āĻŦ⧇āϰ āĻ•āϰ⧋āĨ¤
  18. ā§§ā§Ž. āĻāĻ•āϟāĻŋ āĻĒāϰāĻŋāĻŦāĻžāĻšāϕ⧇āϰ āφāĻĒ⧇āĻ•ā§āώāĻŋāĻ• āϰ⧋āϧ ⧍×ā§§ā§Ļâģ⁸ Ω·m āĻšāϞ⧇, āĻāϰ āĻĻ⧈āĻ°ā§āĻ˜ā§āϝ ā§Š m āĻ“ āĻ•ā§āώ⧇āĻ¤ā§āϰāĻĢāϞ ā§Ļ.ā§Ģ mm² āĻšāϞ⧇ āϰ⧋āϧ āύāĻŋāĻ°ā§āϪ⧟ āĻ•āϰ⧋āĨ¤
  19. ⧧⧝. ⧍ā§Ģ°C āϤ⧇ āĻāĻ•āϟāĻŋ āϤāĻžāϰ⧇āϰ āϰ⧋āϧ ā§Šā§Ļ ΩāĨ¤ āĻĒā§āϰāϤāĻŋ ā§§°C āϤāĻžāĻĒāĻŽāĻžāĻ¤ā§āϰāĻž āĻŦ⧃āĻĻā§āϧāĻŋāϤ⧇ āϰ⧋āϧ ā§Ļ.ā§Ļā§Ŧ Ω āĻŦāĻžā§œā§‡āĨ¤ ā§§ā§Ļā§Ļ°C āϤ⧇ āϰ⧋āϧ āĻ•āϤ āĻšāĻŦ⧇ āϤāĻž āύāĻŋāĻ°ā§āϪ⧟ āĻ•āϰ⧋āĨ¤
  20. ⧍ā§Ļ. āĻĻ⧁āϟāĻŋ āĻ­āĻŋāĻ¨ā§āύ āϧāĻžāϤ⧁āϰ āϤāĻžāĻĒāĻŽāĻžāĻ¤ā§āϰāĻž āϏāĻšāĻ— āϝāĻĨāĻžāĻ•ā§āϰāĻŽā§‡ ā§Ļ.ā§Ļā§Ļā§Ē/°C āĻāĻŦāĻ‚ ā§Ļ.ā§Ļā§Ļā§§/°CāĨ¤ āϝāĻĻāĻŋ ā§Ļ°C āϤ⧇ āϤāĻžāĻĻ⧇āϰ āϰ⧋āϧ āϏāĻŽāĻžāύ āĻšā§Ÿ, āϤāĻžāĻšāϞ⧇ āϕ⧋āύ āϤāĻžāĻĒāĻŽāĻžāĻ¤ā§āϰāĻžā§Ÿ āϤāĻžāĻĻ⧇āϰ āϰ⧋āϧ āϏāĻŽāĻžāύ āĻšāĻŦ⧇?
  21. ⧍⧧. ā§Ģ Ω, ā§§ā§Ļ Ω āĻ“ ā§§ā§Ģ Ω āϰ⧋āϧ āϤāĻŋāύāϟāĻŋ āϏāĻŽāĻžāĻ¨ā§āϤāϰāĻžāϞ⧇ āϝ⧁āĻ•ā§āϤ āĻĨāĻžāĻ•āϞ⧇ āĻŽā§‹āϟ āϰ⧋āϧ āĻ•āϤ āĻšāĻŦ⧇ āϤāĻž āύāĻŋāĻ°ā§āϪ⧟ āĻ•āϰ⧋āĨ¤
  22. ⧍⧍. ā§Ģ Ω āĻ“ ā§§ā§Ļ Ω āϰ⧋āϧ āϏāĻŋāϰāĻŋāĻœā§‡ āϝ⧁āĻ•ā§āϤ āĻ•āϰāĻž āĻšāϞ⧇ āĻŽā§‹āϟ āϰ⧋āϧ āĻ•āϤ āĻšāĻŦ⧇ āĻāĻŦāĻ‚ āϏāĻŽāĻžāύ āĻ­ā§‹āĻ˛ā§āĻŸā§‡āĻœā§‡ āωāĻ­ā§Ÿā§‡āϰ āωāĻĒāϰ āĻŦāĻŋāĻ­āĻŦ āĻĒāϤāύ āύāĻŋāĻ°ā§āϪ⧟ āĻ•āϰ⧋āĨ¤
  23. ā§¨ā§Š. āϕ⧋āύ⧋ āĻĒāϰāĻŋāĻŦāĻžāĻšā§€āϰ āφāĻĒ⧇āĻ•ā§āώāĻŋāĻ• āϰ⧋āϧ āϝāĻĻāĻŋ āϤāĻžāĻĒāĻŽāĻžāĻ¤ā§āϰāĻž āĻŦ⧃āĻĻā§āϧāĻŋāϰ āϏāĻžāĻĨ⧇ āĻ•āĻŽā§‡ āϝāĻžā§Ÿ, āϤāĻŦ⧇ āϏ⧇ āĻĒāĻĻāĻžāĻ°ā§āĻĨāϟāĻŋ āϧāĻžāϤ⧁ āύāĻž āϏ⧇āĻŽāĻŋāĻ•āĻ¨ā§āĻĄāĻžāĻ•ā§āϟāϰ—āĻŦ⧈āĻœā§āĻžāĻžāύāĻŋāĻ• āϝ⧁āĻ•ā§āϤāĻŋ āĻĻāĻžāĻ“āĨ¤
  24. ⧍ā§Ē. āĻāĻ•āϟāĻŋ āϧāĻžāϤāĻŦ āϤāĻžāϰ⧇ ā§§.ā§Ģ A āϤ⧜āĻŋā§Ž āĻĒā§āϰāĻŦāĻžāĻšāĻŋāϤ āĻšāϞ⧇ ā§§ā§Ģ V āĻŦāĻŋāĻ­āĻŦ āĻĒāϤāύ āϘāĻŸā§‡āĨ¤ āϰ⧋āϧ⧇āϰ āĻŽāĻžāύ āύāĻŋāĻ°ā§āϪ⧟ āĻ•āϰ⧋ āĻāĻŦāĻ‚ āĻ“āĻšāĻŽā§‡āϰ āϏ⧂āĻ¤ā§āϰ āϝāĻžāϚāĻžāχ āĻ•āϰ⧋āĨ¤
  25. ⧍ā§Ģ. āĻāĻ•āϟāĻŋ āĻĒāϰāĻŋāĻŦāĻžāĻšāϕ⧇āϰ āĻĻ⧈āĻ°ā§āĻ˜ā§āϝ āϝāĻĻāĻŋ ā§Ģ% āĻŦ⧃āĻĻā§āϧāĻŋ āĻĒāĻžā§Ÿ āĻāĻŦāĻ‚ āĻ•ā§āώ⧇āĻ¤ā§āϰāĻĢāϞ ā§Ģ% āĻšā§āϰāĻžāϏ āĻĒāĻžā§Ÿ, āϤāĻŦ⧇ āϰ⧋āϧ āĻ•āϤ āĻļāϤāĻžāĻ‚āĻļ āĻĒāϰāĻŋāĻŦāĻ°ā§āϤāĻŋāϤ āĻšāĻŦ⧇?
  26. ⧍ā§Ŧ. āϕ⧋āύ⧋ āϧāĻžāϤ⧁āϰ āϤāĻžāĻĒāĻŽāĻžāĻ¤ā§āϰāĻž āϏāĻšāĻ— ā§Ļ.ā§Ļā§Ļā§Š/°C āĻāĻŦāĻ‚ ā§Ļ°C āϤ⧇ āϰ⧋āϧ ā§Ģā§Ļ Ω āĻšāϞ⧇, ā§Šā§Ļ°C āϤ⧇ āϰ⧋āϧ āĻ•āϤ āĻšāĻŦ⧇ āϤāĻž āύāĻŋāĻ°ā§āϪ⧟ āĻ•āϰ⧋āĨ¤
  27. ⧍⧭. āĻāĻ•āϟāĻŋ āύāĻŋāĻ•ā§āϰ⧋āĻŽ āϤāĻžāϰ⧇āϰ āϰ⧋āϧ ⧍ā§Ģ°C āϤ⧇ ⧍ā§Ļ Ω āĻāĻŦāĻ‚ ā§­ā§Ģ°C āϤ⧇ ⧍ā§Ē Ω āĻšāϞ⧇, ā§Ļ°C āϤ⧇ āϰ⧋āϧ āύāĻŋāĻ°ā§āϪ⧟ āĻ•āϰ⧋āĨ¤
  28. ā§¨ā§Ž. āĻāĻ•āϟāĻŋ āĻ…āĻ“āĻšāĻŽāĻŋāĻ• āĻĒāĻĻāĻžāĻ°ā§āĻĨ⧇āϰ V–I āĻ—ā§āϰāĻžāĻĢ āĻ…āϰ⧈āĻ–āĻŋāĻ• āĻšāϞ⧇, āĻāϰ āĻ•āĻžāϰāĻŖ āĻŦā§āϝāĻžāĻ–ā§āϝāĻž āĻ•āϰ⧋ āĻāĻŦāĻ‚ āϏāĻŽā§āĻ­āĻžāĻŦā§āϝ āωāĻĻāĻžāĻšāϰāĻŖ āĻĻāĻžāĻ“āĨ¤
  29. ⧍⧝. āϤāĻžāĻĒāĻŽāĻžāĻ¤ā§āϰāĻž āĻŦ⧃āĻĻā§āϧāĻŋāϰ āĻĢāϞ⧇ āϕ⧇āύ āϧāĻžāϤ⧁āϰ āϰ⧋āϧ āĻŦāĻžā§œā§‡ āĻāĻŦāĻ‚ āϏ⧇āĻŽāĻŋāĻ•āĻ¨ā§āĻĄāĻžāĻ•ā§āϟāϰ⧇āϰ āϰ⧋āϧ āĻ•āĻŽā§‡—āĻ—āĻžāĻŖāĻŋāϤāĻŋāĻ•āĻ­āĻžāĻŦ⧇ āĻ“ āĻĒāĻĻāĻžāĻ°ā§āĻĨāĻ—āϤāĻ­āĻžāĻŦ⧇ āĻŦā§āϝāĻžāĻ–ā§āϝāĻž āĻ•āϰ⧋āĨ¤
  30. ā§Šā§Ļ. āĻāĻ•āϟāĻŋ āϏ⧋āύāĻžāϰ āϤāĻžāϰ⧇āϰ āφāĻĒ⧇āĻ•ā§āώāĻŋāĻ• āϰ⧋āϧ ⧍.ā§Ē×ā§§ā§Ļâģ⁸ Ω·māĨ¤ ā§Ģā§Ļ āϏ⧇āĻŽāĻŋ āϞāĻŽā§āĻŦāĻž āĻ“ ā§Ļ.ā§Ģ mm āĻŦā§āϝāĻžāϏ⧇āϰ āϤāĻžāϰ⧇āϰ āϰ⧋āϧ āύāĻŋāĻ°ā§āϪ⧟ āĻ•āϰ⧋ āĻāĻŦāĻ‚ āϤāĻžāĻŽāĻžāϰ āϤāĻžāϰ⧇āϰ āϏāĻ™ā§āϗ⧇ āϤ⧁āϞāύāĻž āĻ•āϰ⧋āĨ¤

āϤāĻĨā§āϝ āĻ“ āϝ⧇āĻžāĻ—āĻžāϝ⧋āĻ— āĻĒā§āϰāϝ⧁āĻ•ā§āϤāĻŋ ( ā§ĢāĻŽ āĻ…āĻ§ā§āϝāĻžā§Ÿā§‡āϰ āϗ⧁āϰ⧁āĻ¤ā§āĻŦāĻĒā§‚āĻ°ā§āĻŖ āϏ⧃āϜāύāĻļā§€āϞ)

đŸˇī¸ āĻŦāĻŋāώ⧟: āϤāĻĨā§āϝ āĻ“ āϝ⧇āĻžāĻ—āĻžāϝ⧋āĻ— āĻĒā§āϰāϝ⧁āĻ•ā§āϤāĻŋ 🎓 āĻļā§āϰ⧇āĻŖā§€: āχāĻ¨ā§āϟāĻžāϰ āĻĻā§āĻŦāĻŋāĻ¤ā§€ā§Ÿ āĻŦāĻ°ā§āώ 📅 āĻļ⧇āώ āϤāĻžāϰāĻŋāĻ–: 2025-10-18

āĻĒā§āϰāĻļā§āύ-ā§§āĨ¤ 'āĻ•' āĻ•āϞ⧇āĻœā§‡ āφāχāϏāĻŋāϟāĻŋ āĻŦā§āϝāĻŦāĻšāĻžāϰāĻŋāĻ• āĻ•ā§āϞāĻžāϏ⧇āϰ āϜāĻ¨ā§āϝ āĻļāĻŋāĻ•ā§āώāĻžāĻ°ā§āĻĨā§€āĻĻ⧇āϰ āύāĻŋāĻŽā§āύ⧋āĻ•ā§āϤ āĻšāĻ• āĻ…āύ⧁āϏāĻžāϰ⧇ āĻŦāĻŋāĻ­āĻžāϜāύ⧇āϰ āϏāĻŋāĻŽā§āĻĒāĻžāĻ°ā§āĻĄ āĻ—ā§ƒāĻšā§€āϤ āĻšāϝāĻŧ⧇āϛ⧇āĨ¤

Roll No. Group
A
B
C

āĻ•. āĻĢā§āϞ⧋āϚāĻžāĻ°ā§āϟ āϕ⧀?

 āĻ–. C āĻĒā§āϰ⧋āĻ—ā§āϰāĻžāĻŽ āĻāϰ āĻļ⧇āώ āϞāĻžāχāύ⧇ 'return 0' āϞ⧇āĻ–āĻžāϰ āϝ⧌āĻ•ā§āϤāĻŋāĻ•āϤāĻž āĻŦā§āϝāĻžāĻ–ā§āϝāĻž āĻ•āϰāĨ¤ 

āĻ—. āωāĻĻā§āĻĻā§€āĻĒāϕ⧇ āωāĻ˛ā§āϞāĻŋāĻ–āĻŋāϤ āĻŦāĻŋāĻ­āĻžāϜāύ⧇āϰ āĻ…ā§āϝāĻžāϞāĻ—āϰāĻŋāĻĻāĻŽ āϞ⧇āĻ–āĨ¤ 

āϘ. āωāĻĻā§āĻĻā§€āĻĒāϕ⧇āϰ āωāĻ˛ā§āϞāĻŋāĻ–āĻŋāϤ āĻŦāĻŋāĻ­āĻžāϜāύ⧇āϰ āϜāĻ¨ā§āϝ āĻāĻ•āϟāĻŋ āϏāĻŋ-āĻĒā§āϰ⧋āĻ—ā§āϰāĻžāĻŽ āϞ⧇āĻ–āĨ¤

 

āĻĒā§āϰāĻļā§āύ-⧍āĨ¤

#include

int main( ) { int i, N, sum

printf("In Enter last number of the series:"); 

scanf("%d", & N); 

for

sum sum

printf("%d", sum); 

return 0; } 

āĻ•. āĻ…āĻŦāĻœā§‡āĻ•ā§āϟ āĻĒā§āϰ⧋āĻ—ā§āϰāĻžāĻŽ āϕ⧀? 

āĻ–. math.h āĻĢāĻžāχāϞāϟāĻŋ āĻŦā§āϝāĻžāĻ–ā§āϝāĻž āĻ•āϰāĨ¤ 

āĻ—. āωāĻĻā§āĻĻā§€āĻĒāϕ⧇āϰ āĻĒā§āϰ⧋āĻ—ā§āϰāĻžāĻŽāϟāĻŋāϰ āĻĢā§āϞ⧋āϚāĻžāĻ°ā§āϟ āφāρāĻ•āĨ¤ 

āϘ. āωāĻĻā§āĻĻā§€āĻĒāϕ⧇āϰ āϕ⧋āĻĄā§‡ āĻŦā§āϝāĻŦāĻšā§‚āϤ āϞ⧁āĻĒ⧇āϰ āĻĒāϰāĻŋāĻŦāĻ°ā§āϤ⧇ do while āϞ⧁āĻĒ āĻŦā§āϝāĻŦāĻšāĻžāϰ āĻ•āϰ⧇ āĻĒā§āϰ⧋āĻ—ā§āϰāĻžāĻŽāϟāĻŋ āϤ⧈āϰāĻŋ āĻ•āϰāĻž āϏāĻ•ā§āώāĻŦ- āĻŦāĻŋāĻļā§āϞ⧇āώāĻŖ āĻ•āϰāĨ¤

 

āĻĒā§āϰāĻļā§āύ-ā§ŠāĨ¤ 'Happy New Year-2024' 

āĻ•. āĻ­ā§‹āϞāĻžāϟāĻžāχāϞ āĻŽā§‡āĻŽā§‹āϰāĻŋ āϕ⧀? 

āĻ–. āĻ•āĻŽā§āĻĒāĻžāχāϞāĻžāϰ āĻ“ āχāĻ¨ā§āϟāĻžāϰāĻĒā§āϰ⧇āϟāĻžāϰ āĻāϰ āĻŽāĻ§ā§āϝ⧇ āĻĒāĻžāĻ°ā§āĻĨāĻ•ā§āϝ āϞāĻŋāĻ–āĨ¤

āĻ—. āωāĻĻā§āĻĻā§€āĻĒāϕ⧇ āωāĻ˛ā§āϞ⧇āĻ–āĻ•ā§ƒāϤ āĻŦāĻ°ā§āώāĻžāϟ āϞāĻŋāĻĒ āχāϝāĻŧāĻžāϰ āĻ•āĻŋ āύāĻž āϤāĻž āύāĻŋāĻ°ā§āĻŖāϝāĻŧ āĻ•āϰāϤ⧇ āĻ…ā§āϝāĻžāϞāĻ—āϰāĻŋāĻĻāĻŽ āĻĢā§āϞ⧋āϚāĻžāĻ°ā§āϟ āϤ⧈āϰāĻŋ āĻ•āϰāĨ¤ 

⤘. āϝ⧇āϕ⧋āύ⧋ āĻŦāĻ°ā§āώ āϞāĻŋāĻĒ āχāϝāĻŧāĻžāϰ āĻ•āĻŋāύāĻž āϤāĻž āĻŦ⧇āϰ āĻ•āϰāĻžāϰ āϜāĻ¨ā§āϝ āϏāĻŋ āĻĒā§āϰ⧋āĻ—ā§āϰāĻžāĻŽ āϤ⧈āϰāĻŋ āĻ•āϰāĨ¤

 

āĻĒā§āϰāĻļā§āύ-ā§ĒāĨ¤   

⤕. āĻŸā§‹āϕ⧇āύ āϕ⧀?

āĻ–. āϚāϞāϕ⧇āϰ āύāĻžāĻŽā§‡ āφāĻ¨ā§āĻĄāĻžāϰāĻ¸ā§āϕ⧋āϰ āĻŦā§āϝāĻŦāĻšāĻžāϰ āĻ•āϰāĻž āϝāĻžāĻŦ⧇- āĻŦ⧁āĻāĻŋāϝāĻŧ⧇ āϞ⧇āĻ–āĨ¤

āĻ—. āωāĻĻā§āĻĻā§€āĻĒāϕ⧇ āωāĻ˛ā§āϞāĻŋāĻ–āĻŋāϤ āϏāĻ‚āĻ–ā§āϝāĻžāĻ›āϝāĻŧ⧇āϰ āĻ—. āϏāĻž. āϗ⧁. āύāĻŋāĻ°ā§āĻŖāϝāĻŧ⧇āϰ āϜāĻ¨ā§āϝ āĻĢā§āϞ⧋āϚāĻžāĻ°ā§āϟ āϤ⧈āϰāĻŋ āĻ•āϰāĨ¤ 

⤘. āωāĻĻā§āĻĻā§€āĻĒāϕ⧇ āωāĻ˛ā§āϞāĻŋāĻ–āĻŋāϤ āϏāĻ‚āĻ–ā§āϝāĻžāĻ›āϝāĻŧ⧇āϰ āϞ. āϏāĻž. āϗ⧁. āύāĻŋāĻ°ā§āĻŖāϝāĻŧ⧇āϰ āϜāĻ¨ā§āϝ āĻāĻ•āϟāĻŋ C-āĻĒā§āϰ⧋āĻ—ā§āϰāĻžāĻŽ āϰāϚāύāĻž āĻ•āϰāĨ¤

 

āĻĒā§āϰāĻļā§āύ-ā§ĢāĨ¤

āĻĻ⧃āĻļā§āϝāĻ•āĻ˛ā§āĻĒ-ā§§: ‘4’ āĻāĻ•āϟāĻŋ āĻœā§‹āĻĄāĻŧ āϏāĻ‚āĻ–ā§āϝāĻž āĻāĻŦāĻ‚ ‘45’ āĻāĻ•āϟāĻŋ āĻŦāĻŋāĻœā§‹āĻĄāĻŧ āϏāĻ‚āĻ–ā§āϝāĻžāĨ¤ 

āĻĻ⧃āĻļā§āϝāĻ•āĻ˛ā§āĻĒ-⧍: a āĻ“ b āĻĻ⧁āχāϟāĻŋ āĻĒā§‚āĻ°ā§āĻŖāϏāĻ‚āĻ–ā§āϝāĻž āĻāĻŦāĻ‚ d āĻāĻĻ⧇āϰ āϞ.āϏāĻž.āĻ—ā§ƒ.āĨ¤ 

āĻ•. āĻ•āĻŽā§āĻĒāĻžāχāϞāĻžāϰ āϕ⧀? 

āĻ–. āϚāϞāϕ⧇āϰ āύāĻžāĻŽāĻ•āϰāϪ⧇āϰ āϏāĻŽāϝāĻŧ āĻ•āĻŋāϛ⧁ āύāĻŋāϝāĻŧāĻŽ āĻŽā§‡āύ⧇ āϚāϞāϤ⧇ āĻšāϝāĻŧ- āĻŦā§āϝāĻžāĻ–ā§āϝāĻž āĻ•āϰāĨ¤ 

āĻ—. āĻĻ⧃āĻļā§āϝāĻ•āĻ˛ā§āĻĒ-ā§§ āĻāϰ āĻĢāϞāĻžāĻĢāϞ āĻĒāĻžāĻ“āϝāĻŧāĻžāϰ āϜāĻ¨ā§āϝ āĻāĻ•āϟāĻŋ āĻĒā§āϰ⧋āĻ—ā§āϰāĻžāĻŽ āĻĢā§āϞ⧋āϚāĻžāĻ°ā§āϟ āφāρāĻ•āĨ¤ 

āϘ. āĻĻ⧃āĻļā§āϝāĻ•āĻ˛ā§āĻĒ-⧍ āĻāϰ āωāĻ˛ā§āϞāĻŋāĻ–āĻŋāϤ ‘d’ āύāĻŋāĻ°ā§āĻŖāϝāĻŧ⧇āϰ āϜāĻ¨ā§āϝ āϏāĻŋ āĻ­āĻžāώāĻžāϝāĻŧ āĻāĻ•āϟāĻŋ āĻĒā§āϰ⧋āĻ—ā§āϰāĻžāĻŽ āϞ⧇āĻ–āĨ¤

 

āĻĒā§āϰāĻļā§āύ-ā§ŦāĨ¤

1950 āĻĨ⧇āϕ⧇ 1980 āĻĒāĻ°ā§āϝāĻ¨ā§āϤ āϏāĻžāϞ⧇ āϜāĻ¨ā§āĻŽāĻ—ā§āϰāĻšāĻŖāĻ•āĻžāϰ⧀āĻĻ⧇āϰ "Group-A" 1981 āĻĨ⧇āϕ⧇ 2000 āĻĒāĻ°ā§āϝāĻ¨ā§āϤ āϏāĻžāϞ⧇ āϜāĻ¨ā§āĻŽāĻ—ā§āϰāĻšāĻŖāĻ•āĻžāϰ⧀āĻĻ⧇āϰ "Group-B" āĻāĻŦāĻ‚ 2001 āĻĨ⧇āϕ⧇ 2025 āĻĒāĻ°ā§āϝāĻ¨ā§āϤ āϏāĻžāϞ⧇ āϜāĻ¨ā§āĻŽāĻ—ā§āϰāĻšāĻŖāĻ•āĻžāϰ⧀āĻĻ⧇āϰ "GroupC" āĻ—ā§āϰ⧁āĻĒ⧇ āĻ­āĻžāĻ— āĻ•āϰāĻž āĻšāϞ⧋āĨ¤ 

⤕. āύāĻŋāĻŽā§āύāĻ¸ā§āϤāϰ⧇āϰ āĻ­āĻžāώāĻž āϕ⧀ ? 

āĻ–. _ICT āϚāϞāĻ•āϟāĻŋ āĻŦ⧈āϧ āĻ•āĻŋ āύāĻž? āĻŦā§āϝāĻžāĻ–ā§āϝāĻž āĻ•āϰāĨ¤ 

āĻ—. āϜāĻ¨ā§āĻŽāϏāĻžāϞ āĻ…āύ⧁āϝāĻžāϝ⧀ āĻ—ā§āϰ⧁āĻĒ āύāĻŋāĻ°ā§āϧāĻžāϰāĻŖ āĻ•āϰāϤ⧇ āωāĻĒāϰ⧇āϰ āωāĻĻā§āĻĻā§€āĻĒāĻ• āĻ…āύ⧁āϝāĻžā§Ÿā§€ āĻāĻ•āϟāĻŋ āĻĢā§āϞ⧋āϚāĻžāĻ°ā§āϟ āφāρāĻ•āĨ¤ 

⤘. āωāĻĻā§āĻĻā§€āĻĒāĻ• āĻ…āύ⧁āϝāĻžā§Ÿā§€ āϏāĻŋ āĻ­āĻžāώāĻžāϝāĻŧ āĻĒā§āϰ⧋āĻ—ā§āϰāĻžāĻŽ āϞ⧇āĻ–āĨ¤

 

āĻĒā§āϰāĻļā§āύ-ā§­āĨ¤

āχāύāĻĒ⧁āϟ āĻĄā§‡āϟāĻž āĻĒā§āϰāĻŋāĻ¨ā§āϟāĻ•ā§ƒāϤ āφāωāϟāĻĒ⧁āϟ āĻĄā§‡āϟāĻž
05:00 am āĻĨ⧇āϕ⧇ 11:59 am Morning
12:00 pm āĻĨ⧇āϕ⧇ 04:59 pm Afternoon
05:00 pm āĻĨ⧇āϕ⧇ 08:59 pm Evening
09:00 pm āĻĨ⧇āϕ⧇ 04:59 am Night

āĻ•. āχāĻ¨ā§āϟāĻžāϰāĻĒā§āϰ⧇āϟāĻžāϰ āϕ⧀? 

āĻ–. C āĻĒā§āϰ⧋āĻ—ā§āϰāĻžāĻŽ "/" āĻ“ "%" āĻ…āĻĒāĻžāϰ⧇āϟāϰ āĻĻ⧁āϟāĻŋāϰ āĻ—āĻžāĻŖāĻŋāϤāĻŋāĻ• āĻĒā§āϰāĻ•ā§āϰāĻŋāϝāĻŧāĻž āĻ…āĻ­āĻŋāĻ¨ā§āύ āĻšāϞ⧇āĻ“ āĻĢāϞāĻžāĻĢāϞ āĻ­āĻŋāĻ¨ā§āύ- āĻŦ⧁āĻāĻŋāϝāĻŧ⧇ āϞ⧇āĻ–āĨ¤ 

āĻ—. āωāĻĻā§āĻĻā§€āĻĒāϕ⧇ āωāĻ˛ā§āϞāĻŋāĻ–āĻŋāϤ āφāωāϟāĻĒ⧁āϟ āĻĒāĻžāĻ“āϝāĻŧāĻžāϰ āĻĒā§āϰ⧋āĻ—ā§āϰāĻžāĻŽā§‡āϰ āĻĢā§āϞ⧋āϚāĻžāĻ°ā§āϟ āϤ⧈āϰāĻŋ āĻ•āϰāĨ¤ 

āϘ. else if statement āĻŦā§āϝāĻŦāĻšāĻžāϰ āĻ•āϰ⧇ āωāĻĻā§āĻĻā§€āĻĒāϕ⧇ āωāĻ˛ā§āϞāĻŋāĻ–āĻŋāϤ āφāωāϟāĻĒ⧁āϟāϟāĻŋ āĻĒāĻžāĻ“āϝāĻŧāĻžāϰ āĻĒā§āϰ⧋āĻ—ā§āϰāĻžāĻŽā§‡āϰ C āĻ­āĻžāώāĻžāϰ āϕ⧋āĻĄ āϞ⧇āĻ–āĨ¤

 

āĻĒā§āϰāĻļā§āύ-ā§Ž  āύāĻŋāĻšā§‡āϰ āϚāĻŋāĻ¤ā§āϰāϟāĻŋ āϞāĻ•ā§āώ āĻ•āϰ-

 img-0.jpeg 

āĻ•. āĻŽā§‡āĻļāĻŋāύ āĻ­āĻžāϝāĻž āϕ⧀? 

āĻ–. āĻĄāĻŋāĻŦāĻžāĻ—āĻŋāĻ‚ āĻāĻ•āϟāĻŋ āĻ…āĻ¤ā§āϝāĻžāĻŦāĻļā§āϝāϕ⧀āϝāĻŧ āĻ•āĻžāϜ- āĻŦā§āϝāĻžāĻ–ā§āϝāĻž āĻ•āϰāĨ¤ 

āĻ—. āωāĻĻā§āĻĻā§€āĻĒāϕ⧇ āωāĻ˛ā§āϞāĻŋāĻ–āĻŋāϤ āϚāĻŋāĻ¤ā§āϰāϟāĻŋāϰ āĻĒāϰāĻŋāϏ⧀āĻŽāĻž āύāĻŋāĻ°ā§āĻŖāϝāĻŧ āĻĒā§āϰ⧋āĻ—ā§āϰāĻžāĻŽā§‡āϰ āĻ…ā§āϝāĻžāϞāĻ—āϰāĻŋāĻĻāĻŽ āϞ⧇āĻ–āĨ¤ 

⤘. āωāĻĻā§āĻĻā§€āĻĒāϕ⧇ āωāĻ˛ā§āϞāĻŋāĻ–āĻŋāϤ āϚāĻŋāĻ¤ā§āϰāϟāĻŋāϰ āĻ•ā§āώ⧇āĻ¤ā§āϰāĻĢāϞ āύāĻŋāĻ°ā§āĻŖāϝāĻŧ⧇āϰ āϜāĻ¨ā§āϝ C āĻ­āĻžāϝāĻžāϰ āĻĒā§āϰ⧋āĻ—ā§āϰāĻžāĻŽ āϞ⧇āĻ–āĨ¤

07 Oct, 2025

āϏāĻŋ āĻĒā§āϰ⧋āĻ—ā§āϰāĻžāĻŽā§‡āϰ āĻĢā§āϞ⧋āϚāĻžāĻ°ā§āϟ āĻ…āĻ™ā§āĻ•āύ⧇āϰ āϜāĻ¨ā§āϝ āĻĒā§āϰāĻļā§āύāĻžāĻŦāϞ⧀

đŸˇī¸ āĻŦāĻŋāώ⧟: āϤāĻĨā§āϝ āĻ“ āϝ⧇āĻžāĻ—āĻžāϝ⧋āĻ— āĻĒā§āϰāϝ⧁āĻ•ā§āϤāĻŋ 🎓 āĻļā§āϰ⧇āĻŖā§€: āχāĻ¨ā§āϟāĻžāϰ āĻĻā§āĻŦāĻŋāĻ¤ā§€ā§Ÿ āĻŦāĻ°ā§āώ 📅 āĻļ⧇āώ āϤāĻžāϰāĻŋāĻ–: 2025-10-08

 

🔹 āϏāĻšāϜ āĻ¸ā§āϤāϰ (Basic Level)

  1. āϕ⧋āύ⧋ āϏāĻ‚āĻ–ā§āϝāĻžāϰ āĻŦāĻ°ā§āĻ— (square) āĻŦ⧇āϰ āĻ•āϰāĻžāϰ āĻĢā§āϞ⧋āϚāĻžāĻ°ā§āϟ āφāρāϕ⧋āĨ¤
  2. āĻŦā§āϝāĻŦāĻšāĻžāϰāĻ•āĻžāϰ⧀āϰ āĻ•āĻžāĻ› āĻĨ⧇āϕ⧇ āĻĻ⧁āϟāĻŋ āϏāĻ‚āĻ–ā§āϝāĻž āύāĻŋā§Ÿā§‡ āϤāĻžāĻĻ⧇āϰ āϝ⧋āĻ—āĻĢāϞ āĻŦ⧇āϰ āĻ•āϰāĻžāϰ āĻĢā§āϞ⧋āϚāĻžāĻ°ā§āϟ āφāρāϕ⧋āĨ¤
  3. āϕ⧋āύ⧋ āĻŦ⧃āĻ¤ā§āϤ⧇āϰ āĻŦā§āϝāĻžāϏāĻžāĻ°ā§āϧ r āχāύāĻĒ⧁āϟ āύāĻŋā§Ÿā§‡ āĻ•ā§āώ⧇āĻ¤ā§āϰāĻĢāϞ āĻŦ⧇āϰ āĻ•āϰāĻžāϰ āĻĢā§āϞ⧋āϚāĻžāĻ°ā§āϟ āφāρāϕ⧋āĨ¤
    āϏ⧂āĻ¤ā§āϰ: A = π × r2
  4. āϕ⧋āύ⧋ āĻ†ā§ŸāϤāĻ•ā§āώ⧇āĻ¤ā§āϰ⧇āϰ āĻĻ⧈āĻ°ā§āĻ˜ā§āϝ l āĻ“ āĻĒā§āϰāĻ¸ā§āĻĨ w āχāύāĻĒ⧁āϟ āύāĻŋā§Ÿā§‡ āĻ•ā§āώ⧇āĻ¤ā§āϰāĻĢāϞ āĻ“ āĻĒāϰāĻŋāϏ⧀āĻŽāĻž āĻŦ⧇āϰ āĻ•āϰāĻžāϰ āĻĢā§āϞ⧋āϚāĻžāĻ°ā§āϟ āφāρāϕ⧋āĨ¤
    āĻ•ā§āώ⧇āĻ¤ā§āϰāĻĢāϞ = l × w, āĻĒāϰāĻŋāϏ⧀āĻŽāĻž = 2 × (l + w)
  5. āϏ⧇āϞāϏāĻŋ⧟āĻžāϏ āϤāĻžāĻĒāĻŽāĻžāĻ¤ā§āϰāĻž āχāύāĻĒ⧁āϟ āύāĻŋā§Ÿā§‡ āĻĢāĻžāϰ⧇āύāĻšāĻžāχāĻŸā§‡ āϰ⧂āĻĒāĻžāĻ¨ā§āϤāϰ āĻ•āϰāĻžāϰ āĻĢā§āϞ⧋āϚāĻžāĻ°ā§āϟ āφāρāϕ⧋āĨ¤
    āϏ⧂āĻ¤ā§āϰ: F = (C × 9/5) + 32

🔹 āĻŽāĻ§ā§āϝāĻŽ āĻ¸ā§āϤāϰ (Intermediate Level)

  1. āϤāĻŋāύāϟāĻŋ āϏāĻ‚āĻ–ā§āϝāĻž āχāύāĻĒ⧁āϟ āύāĻŋā§Ÿā§‡ āϤāĻžāĻĻ⧇āϰ āĻ—ā§œ (average) āĻŦ⧇āϰ āĻ•āϰāĻžāϰ āĻĢā§āϞ⧋āϚāĻžāĻ°ā§āϟ āφāρāϕ⧋āĨ¤
    āϏ⧂āĻ¤ā§āϰ: Avg = (a + b + c) / 3
  2. āĻ¤ā§āϰāĻŋāϭ⧁āĻœā§‡āϰ āϤāĻŋāύ āĻŦāĻžāĻšā§ a, b, c āχāύāĻĒ⧁āϟ āύāĻŋā§Ÿā§‡ āĻšā§‡āϰāύ⧇āϰ āϏ⧂āĻ¤ā§āϰ āĻŦā§āϝāĻŦāĻšāĻžāϰ āĻ•āϰ⧇ āĻ•ā§āώ⧇āĻ¤ā§āϰāĻĢāϞ āĻŦ⧇āϰ āĻ•āϰāĻžāϰ āĻĢā§āϞ⧋āϚāĻžāĻ°ā§āϟ āφāρāϕ⧋āĨ¤
    s = (a + b + c)/2, A = √(s(s - a)(s - b)(s - c))
  3. āϏāĻŋāϞāĻŋāĻ¨ā§āĻĄāĻžāϰ⧇āϰ āĻŦā§āϝāĻžāϏāĻžāĻ°ā§āϧ r āĻ“ āωāĻšā§āϚāϤāĻž h āχāύāĻĒ⧁āϟ āύāĻŋā§Ÿā§‡ āĻ†ā§ŸāϤāύ āĻŦ⧇āϰ āĻ•āϰāĻžāϰ āĻĢā§āϞ⧋āϚāĻžāĻ°ā§āϟ āφāρāϕ⧋āĨ¤
    āϏ⧂āĻ¤ā§āϰ: V = π × r2 × h
  4. āϕ⧋āύ⧋ āϏāĻ‚āĻ–ā§āϝāĻžāϰ āϘāύ (cube) āĻŦ⧇āϰ āĻ•āϰāĻžāϰ āĻĢā§āϞ⧋āϚāĻžāĻ°ā§āϟ āφāρāϕ⧋āĨ¤
  5. āϕ⧋āύ⧋ āĻ›āĻžāĻ¤ā§āϰ⧇āϰ āĻĒā§āϰāĻžāĻĒā§āϤ āύāĻŽā§āĻŦāϰ āχāύāĻĒ⧁āϟ āύāĻŋā§Ÿā§‡ āĻ—ā§œ āĻŦ⧇āϰ āĻ•āϰ⧇ āĻ—ā§āϰ⧇āĻĄ āύāĻŋāĻ°ā§āϧāĻžāϰāϪ⧇āϰ āĻĢā§āϞ⧋āϚāĻžāĻ°ā§āϟ āφāρāϕ⧋āĨ¤

🔹 āωāĻšā§āϚ āĻ¸ā§āϤāϰ (Advanced Level)

  1. āĻĻ⧁āϟāĻŋ āϏāĻ‚āĻ–ā§āϝāĻžāϰ GCD āĻŦ⧇āϰ āĻ•āϰāĻžāϰ āĻĢā§āϞ⧋āϚāĻžāĻ°ā§āϟ āφāρāϕ⧋ (Euclidean algorithm āĻŦā§āϝāĻŦāĻšāĻžāϰ āĻ•āϰ⧇)āĨ¤
  2. āϕ⧋āύ⧋ āϏāĻ‚āĻ–ā§āϝāĻžāϰ factorial (n!) āĻŦ⧇āϰ āĻ•āϰāĻžāϰ āĻĢā§āϞ⧋āϚāĻžāĻ°ā§āϟ āφāρāϕ⧋āĨ¤
  3. āĻĻā§āĻŦāĻŋāϘāĻžāϤ āϏāĻŽā§€āĻ•āϰāĻŖ ax2 + bx + c = 0 āĻāϰ āĻŽā§‚āϞ āύāĻŋāĻ°ā§āĻŖā§Ÿā§‡āϰ āĻĢā§āϞ⧋āϚāĻžāĻ°ā§āϟ āφāρāϕ⧋āĨ¤
    āϏ⧂āĻ¤ā§āϰ: x = (-b ± √(b2 - 4ac)) / 2a
  4. BMI āύāĻŋāĻ°ā§āĻŖā§Ÿā§‡āϰ āĻĢā§āϞ⧋āϚāĻžāĻ°ā§āϟ āφāρāϕ⧋ (āĻ“āϜāύ āĻ“ āωāĻšā§āϚāϤāĻž āχāύāĻĒ⧁āϟ āύāĻŋā§Ÿā§‡)āĨ¤
    āϏ⧂āĻ¤ā§āϰ: BMI = weight / (height2)
  5. āĻ“āĻšāĻŽā§‡āϰ āϏ⧂āĻ¤ā§āϰ āĻŦā§āϝāĻŦāĻšāĻžāϰ āĻ•āϰ⧇ āĻ•āĻžāϰ⧇āĻ¨ā§āϟ āύāĻŋāĻ°ā§āĻŖā§Ÿā§‡āϰ āĻĢā§āϞ⧋āϚāĻžāĻ°ā§āϟ āφāρāϕ⧋āĨ¤
    āϏ⧂āĻ¤ā§āϰ: I = V / R
26 Sep, 2025

āϤāĻĨā§āϝ āĻ“ āϝ⧇āĻžāĻ—āĻžāϝ⧇āĻžāĻ— āĻĒā§āϰāϝ⧁āĻ•ā§āϤāĻŋ ā§ĢāĻŽ āĻ…āĻ§ā§āϝāĻžā§Ÿā§‡āϰ āĻŦāĻžā§œāĻŋāϰ āĻ•āĻžāϜ

đŸˇī¸ āĻŦāĻŋāώ⧟: āϤāĻĨā§āϝ āĻ“ āϝ⧇āĻžāĻ—āĻžāϝ⧋āĻ— āĻĒā§āϰāϝ⧁āĻ•ā§āϤāĻŋ 🎓 āĻļā§āϰ⧇āĻŖā§€: āχāĻ¨ā§āϟāĻžāϰ āĻĻā§āĻŦāĻŋāĻ¤ā§€ā§Ÿ āĻŦāĻ°ā§āώ 📅 āĻļ⧇āώ āϤāĻžāϰāĻŋāĻ–: 2025-09-27

Type-3:  Table

###   āύāĻŋāĻŽā§āύ⧇āϰ āĻŸā§‡āĻŦāĻŋāϞāϗ⧁āϞāĻŋāϰ HTML āϕ⧋āĻĄāϗ⧁āϞāĻŋ āϞāĻŋāĻ–āĨ¤ 

āĻŸā§‡āĻŦāĻŋāϞ-ā§§:

             Test Result of Safat  

 

Subject

Number

Image.jpg

 Bangla

75

 English

65

ICT

85

āĻŸā§‡āĻŦāĻŋāϞ-⧍:

Name

 

Group

Address

Rakib

 

Humanities

Pabna

Rajshahi

Rafiq

 

Charghat

Tina

 

Business

Puthia

āĻŸā§‡āĻŦāĻŋāϞ-ā§Š:

Category

Flower

Website

River list

Rose.jpeg

Facebook

X. Padma

XI. Meghna

XII. Jamuna

Rose

Social Media

āĻŸā§‡āĻŦāĻŋāϞ-ā§Ē:

Product Name

Compulsory Subject

Group

o Coffee

o Tea

i. Black Tea

ii. Green Tea

Bangla

Science

English

Business Studies

ICT

Humanities

H2SO4

Physics

Chemistry

Religion

 

         

āĻŸā§‡āĻŦāĻŋāϞ-ā§Ģ:

A & H Company Ltd

    Order List

Unorder List

i. Book

1 Marker

ii. Paper

1 Ink

iii. Note Book

1 Pencil

āĻŸā§‡āĻŦāĻŋāϞ-ā§Ŧ:

Group

Section

Club

Science

ICT

Science

1. Science1

2. Science2

Arts

H1

B

C

         

āĻŸā§‡āĻŦāĻŋāϞ-ā§­:

Step1

Step2

AF.A1

      ·    A2

AG.A3

Step3

Test

(a+b)4

Test.jpeg

āĻŸā§‡āĻŦāĻŋāϞ-ā§Ž:

             Test Result of Safat  

 

Subject

Number

Image.jpg

Bangla

75

English

65

ICT

85

 

 

āĻŸā§‡āĻŦāĻŋāϞ-⧝:

ABC College

Img.jpg

250× 150

Subject

Paper

List:

  1. Physics
  2. Chemistry
  3. Biology
  4. Math
  5. English

List:

        1. Physics
  • 1st paper
  • 2nd paper
        1. Chemistry
  • 1st paper
  • 2nd paper
        1. Biology
  • 1st paper
  • 2nd paper