Dynamics Career - বাংলাদেশে ক্যারিয়ার, চাকরি ও শিক্ষা বিষয়ক সর্বশেষ তথ্য

পরীক্ষা: তথ্য ও যোগাযোগ প্রযুক্তি ( ৩য় অধ্যায় ) পরীক্ষা -১০

প্রশ্ন 1.

নিচের উদ্দীপকটি পড়ো এবং 1 ও 2 নং প্রশ্নের উত্তর দাও: 

সত্যক সারণিটি কোন গেইট নির্দেশ করে? 

প্রশ্ন 2.

 সত্যক সারণিটির বুলিয়ান সমীকরণ কোনটি? 

প্রশ্ন 3.

নিচের উদ্দীপকটি পড়ো এবং 3 নং প্রশ্নের উত্তর দাও: 

এই উদ্দীপকে A=0  হলে আউটপুট Y  এর মান কত হবে? 

প্রশ্ন 4.

নিচের উদ্দীপকটি পড়ো এবং 4 ও 5 নং প্রশ্নের উত্তর দাও: 

উপরের ফলাফল কোন গেটের?

প্রশ্ন 5.

উপরের সত্যক সারণিটির বুলিয়ান ফাংশন হবে-

নিচের কোনটি সঠিক? 

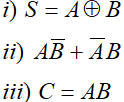
প্রশ্ন 6.

নিচের উদ্দীপকটি পড়ো 6 ও 7 নং প্রশ্নের উত্তর দাও: 

উপরের চিত্রটি দ্বারা কি বুঝায়? 

প্রশ্ন 7.

উপরের চিত্রটিতে-

নিচের কোনটি সঠিক? 

প্রশ্ন 8.

নিচের উদ্দীপকটি পড়ো 8 ও 9 নং প্রশ্নের উত্তর দাও: 

 উপরের উদ্দীপকে যদি ইনপুট A=0  এবং B=1  হয় তবে আউটপুট হবে? 

প্রশ্ন 9.

যদি আউটপুট 0  হয় তবে ইনপুট A  এবং  B এর মান হবে? 

প্রশ্ন 10.

নিচের অনুচ্ছেদটি পড় এবং 10 ও 11 নং প্রশ্নের উত্তর দাও : 

উপরের ব্লক চিত্রের জন্য এর আউটপুট কী হবে?

প্রশ্ন 11.

উপরের উদ্দীপকটি যে সার্কিটটি নির্দেশ করে তার লজিক ডায়াগ্রাম ব্যবহার হয়-

 

প্রশ্ন 12.

সংখ্যা প্রকশ করার পদ্ধতিকে কী বলে? 

প্রশ্ন 13.

সংখ্যা নির্বাচনের পদ্ধতিকে কী বলা হয়? 

প্রশ্ন 14.

সংখ্যা প্রকাশ করার ক্ষুদ্রতম প্রতীক কোনটি? 

প্রশ্ন 15.

প্রাচীনকালের মানুষ সংখ্যার কাজ করত কীভাবে? 

প্রশ্ন 16.

প্রাচীন ব্যাবিলনের মানুষ গণনার জন্য কী ব্যবহার করত? 

প্রশ্ন 17.

প্রাচীন ব্যাবিলনের মানুষ বড় সংখ্যা প্রকাশের জন্য কত ভিত্তিক সংখ্যা ব্যবহার করত? 

প্রশ্ন 18.

প্রাচীন ব্যাবিলনের মানুষ ছোট সংখ্যা প্রকাশের জন্য কত ভিত্তিক সংখ্যা ব্যবহার করত? 

প্রশ্ন 19.

আরবরা কীভাবে গণনা পদ্ধতি আয়ত্ত করেছিলেন?

প্রশ্ন 20.

খৃস্টপূর্ব ৪০০ সালে গ্রিসে কয়টি গ্রিক এলফাবেট নিয়ে ১০-ভিত্তিক সংখ্যা পদ্ধতি চালু হয়? 

প্রশ্ন 21.

কোন ভারতীয় গণিতবিদ শূল্য (“০”) আবিষ্কারের মাধ্যমে প্রথম বাইনারি পদ্ধতির ধারণা দেন? 

প্রশ্ন 22.

ভারতীয়দের কাছ থেকে আরবরা সংখ্যা পদ্ধতি আয়ত্ত করে কত খ্রিষ্টাব্দে? 

প্রশ্ন 23.

কোন বিজ্ঞানী ১০ ভিত্তিক সংখ্যা পদ্ধতির ওপর বই রচনা করেন? 

প্রশ্ন 24.

প্রাচীন ব্যাবিলনীয়রা বড় সংখ্যা গণনার জন্য কোনটি  ব্যবহার করত? 

প্রশ্ন 25.

সংখ্যা পদ্ধতিকে প্রাধানত কয়ভাগে ভাগ করা যায়? 

প্রশ্ন 26.

 পূর্ণসংখ্যাকে কী বলা হয়? 

প্রশ্ন 27.

 দশমিক চিহ্ন (.) ছাড়া সংখ্যাকে কী বলা হয়? 

প্রশ্ন 28.

ভগ্নাংশযুক্ত সংখ্যার র‌্যাডিক্স পয়েন্টের বাম দিকের অংশকে কী বলে? 

প্রশ্ন 29.

নিচের কোনটি নন-পজিশনাল সংখ্যা?

প্রশ্ন 30.

সংখ্যা প্রকাশ করার জন্য আমরা ব্যবহার করে থাকি-

  1. বাইনারি সংখ্যা পদ্ধতি
  2. অক্টাল সংখ্যা পদ্ধতি
  3. দশমিক সংখ্যা পদ্ধতি নিচের কোনটি সঠিক?
মোট প্রশ্ন: 30
Exam System