Dynamics Career - বাংলাদেশে ক্যারিয়ার, চাকরি ও শিক্ষা বিষয়ক সর্বশেষ তথ্য

পরীক্ষা: তথ্য ও যোগাযোগ প্রযুক্তি ( ৩য় অধ্যায় ) পরীক্ষা -০৭

প্রশ্ন 1.

(72)10 ​​​​​​​এর হেক্সাডেসিমাল সংখ্যা কোনটি? 

প্রশ্ন 2.

BCD কোড কত বিটের? 

প্রশ্ন 3.

কোন সার্কিটে সর্বোচ্চ যোগটি ইনপুট থেকে চারটি আউটপুট পাওয়া যায়? 

প্রশ্ন 4.

 মি: সুবীর একজন ছাত্রকে বয়স জিজ্ঞাসা করায় সে বলল, বাইনারীতে তার বয়স ১০০১০। তার এই সংখ্যার সাথে (1011)2 ​​​​​​​ যোগ করলে বাইনারিতে যোগফল কত হবে?

প্রশ্ন 5.

হেক্সডেসিমেলে 4D এর সমতুল দশমিক মান কত?

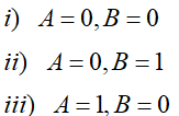
প্রশ্ন 6.

X=1পেতে হলে  A ও B এর মান কত হবে? 

প্রশ্ন 7.

সর্বজনীন গেইট কোনটি?    

প্রশ্ন 8.

(A0)​​​​​​​16 এর দশমিক সমতূল্য মান কত? 

প্রশ্ন 9.

ডিজিটাল ইলেকট্রনিক্স সার্কিটে +5 ভোল্ট নির্দেশ করে-

প্রশ্ন 10.

একটি কলমের দাম (110111)​​​​​​​2 হলে ডেসিমেল কত? 

প্রশ্ন 11.

আলফা নিউমারিক ডেটা আদান প্রদানের জন্য ব্যবহৃত হয়-

​​​​​​​

নিচের কোনটি সঠিক? 

প্রশ্ন 12.

উপরের চিত্রে আউটপুট হচ্ছে? 

নিচের কোনটি সঠিক? 

প্রশ্ন 13.

৭৬২ সংখ্যাটি হতে পারে-

 

প্রশ্ন 14.

পজিশনাল সংখ্যা পদ্ধতিতে কোনো একটি সংখ্যার মান নির্ণয় করার জন্য দারকার-

নিচের কোনটি সঠিক? 

প্রশ্ন 15.

X-OR গেইট তৈরিতে ব্যবহৃত হয়-

নিচের কোনটি সঠিক? 

প্রশ্ন 16.

X-OR গেইট তৈরিতে ব্যবহৃত হয়-

নিচের কোনটি সঠিক? 

প্রশ্ন 17.

উপরি-উক্ত বর্তনীর আউটপুট হবে-

নিচের কোনটি সঠিক?

প্রশ্ন 18.

(-42)10 ​​​​​​​সংখ্যাটি উপস্থাপনায় ব্যবহৃত গঠন হলো-

 

প্রশ্ন 19.

নিচের চিত্রটি লক্ষ্য কর এবং 19 ও 20 নং প্রশ্নের  উত্তর দাও: 

F এর মান কত? 

প্রশ্ন 20.

২ ও ৩নং গেইটের কিরূপ পরিবর্তন করলে F এর মান শূন্য হবে?

প্রশ্ন 21.

নিচের চিত্রটি লক্ষ কর এবং 21 ও 22 নং প্রশ্নের উত্তর দাও: 

চিত্রে  Z এর সমীকরণ কোনটি?

প্রশ্ন 22.

উদ্দীপকটিতে OR গেইটির NOR Gate স্থলে  বসালে ফলাফলটি কোন গেইটটির সমান? 

প্রশ্ন 23.

নিচের উদ্দীপকের আলোকে 23 ও 24 নং প্রশ্নের উত্তর দাও: 

এখানে P=?

প্রশ্ন 24.

প্রশ্ন 25.

লজিক চিত্রটি দেখ এবং নিচের 25 ও 26 নং প্রশ্নের উত্তর দাও: 

Y এর মান কোনটি? 

প্রশ্ন 26.

Y=1 পেতে হলে, A  এবং  B এর মান হবে-

নিচের কোনটি সঠিক? 

প্রশ্ন 27.

উদ্দীপকটি পড়ে 27 ও 28 নং পশ্নের উত্তর দাও:

শিক্ষক ছাত্রকে রোল নং বিজ্ঞাসা করল। ছাত্রটি বাইনারি পদ্ধতিতে রোল নং ১১০১ বলল। 

উদ্দীপকে উল্লিখিত সংখ্যার সাথে (১০০১) এর যোগফল কত? 

প্রশ্ন 28.

উদ্দীপকের রোল নং এর সমক্ষক সংখ্যা হলো

  1. (13)10

  2. (15)8

  3. (11)16

    নিচের কোনটি সঠিক?​​​​​​​

প্রশ্ন 29.

সত্যক সারণিটি দেখ এবং 29 নং প্রশ্নের উত্তর দাও: 

উদ্দীপকে কোন গেইটটির আউটপুট দেয়া আছে? 

প্রশ্ন 30.


চিত্রে ‘X’ চিহ্নিত গেইট পরিবর্তন করে কোন গেইট বসালে আউটপুট  হবে? 

মোট প্রশ্ন: 30
Exam System