Dynamics Career - বাংলাদেশে ক্যারিয়ার, চাকরি ও শিক্ষা বিষয়ক সর্বশেষ তথ্য

পরীক্ষা: পদার্থবিজ্ঞান ২য় পত্র- ২য় অধ্যায় -পরীক্ষা-০৯

প্রশ্ন 1.

তিনটি একই ধরনের ধারক প্রত্যেকটির মান C শ্রেণি সমবায়ে যুক্ত করা হলো এবং সমবায়টিকে অপর একটি একই ধরনের ধারকের সঙে সমান্তরালভাবে যুক্ত করা হলো সমগ্র সমবায়ের তুল্য ধারকত্ব- ​​​​​​​

প্রশ্ন 2.

0.02 m ব্যাসার্ধ বিশিষ্ট ৬৪টি গোলাকার ফোঁটাকে একত্রিত করে একটি বড় ফোঁটায় পরিণত করা হল যদি প্রতি ফোঁটায় 1 C চার্জ বিদ্যমান থাকে তবে বড় ফোঁটায় বিভব কত হবে? ​​​​​​​

প্রশ্ন 3.

একটি মান্তরাল পাত ধারকের মধ্যে একটি ডাইইলেক্ট্রিক পদার্থ স্থাপন করা ধারকের সঞ্চিত শক্তি পাঁচ গুণ বৃদ্ধি পায় পদার্থটির ডাইইলেকট্রিক ধ্রুবক হবে- ​​​​​​​

প্রশ্ন 4.

দুইটি সমান ধারকত্বের ধারককে প্রথমে শ্রেণিতে পরে সমান্তরালে সংযুক্ত করা হলো শ্রেণি সমান্তরাল সংযোগে তুল্য ধারকত্বের অনুপাত-​​​​​​​

প্রশ্ন 5.

2, 3 6μF ধারকতের ধারক তিনটিকে শ্রেণিবদ্ধভাবে সাজাদোর পর 10 V ব্যাটারির সঙ্গে সংযোগ দেয়া হলে বর্তনীতত চার্জের পরিমাণ কত?​​​​​​​

প্রশ্ন 6.

সমান ধারকত্বের তিনটি ধারক প্রথমে শ্রেণিতে এবং পরে সমান্তরালে যুক্ত করা হলো দু'ক্ষেত্রের তুল্য ধারকত্ব-এর অনুপাত কত?

প্রশ্ন 7.

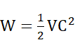
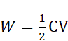
0.2μF একটি ক্যাপাসিটরকে এমনভাবে চার্জ করা হলো যেন প্লেটের মধ্যে বিদ্যুৎ বিভব 100 V হয় এই সঞ্চিত চার্জের শক্তি কত? ​​​​​​​

প্রশ্ন 8.

4μF বিশিষ্ট একটি ধারককে 9.0V ব্যাটারি দ্বারা আহিত করা হল ধারকটিতে কি পরিমাণ শক্তি সঞ্চিত হবে? ​​​​​​​

প্রশ্ন 9.

দুটি সমমানের ধারককে মান্তরাল অবস্থায় V ভোল্টেজে আহিত করা হল, ধারক দুটিকে শ্রেণিবদ্ধ অবস্থায় সমান শক্তি সঞ্চিত রাখতে হলে কোন ভোল্টেজে আহিত করতে হবে? ​​​​​​​

প্রশ্ন 10.

4μF একটি ধারককে 9 volts ব্যাটারী দ্বারা আহিত করলে এতে কি পরিমাণ শক্তি সঞ্চিত হবে? ​​​​​​​

প্রশ্ন 11.

1.2μF ধারকত্ব বিশিষ্ট একটি ইলেকট্রিক যন্ত্রের প্রান্তের মধ্যে 2000 V বিভব পার্থক্য দেয়া হলো, ধারকের সঞ্চিত শক্তির পরিমাণ কত? ​​​​​​​

প্রশ্ন 12.

4μF ধারকত্ব বিশিষ্ট একটি ধারককে 9.0 V ব্যাটারীর দ্বারা চার্জিত করলে এতে সঞ্চিত শক্তির পরিমাণ- ​​​​​​​ 

প্রশ্ন 13.

 0.2μF একটি ক্যাপাসিটরকে এমনভাবে চার্জ করা হলো যেন প্লেটের বিন্যুৎ বিভব 100 V হয় এই সঞ্চিত চার্জের শক্তি কত? ​​​​​​​

প্রশ্ন 14.

কোন পরিবাহীতে কিছু চার্জ দিলে তার বিভব বৃদ্ধির পরিমাণ নিচের কোনটির উপর নির্ভর করে না? ​​​​​​​

প্রশ্ন 15.

একটি পরিবাহকের ধারকত্ব 40F এতে কত আধান প্রদান করলে, এর বিভব 8 V হবে? ​​​​​​​

প্রশ্ন 16.

2.5 μF ধারকত্ব বিশিষ্ট একটি ধারককে 20 V ব্যাটারির সাথে সংযুক্ত করা হলে এতে কী পরিমাণ চার্জ সংযুক্ত হবে? ​​​​​​​

প্রশ্ন 17.

একটি ন্তরীত পরিবাহীতে 10 কুলম্ব চার্জ প্রদান করায় এর বিভব 2 V হলো পরিবাহীর ধারকত্ব কত হবে? ​​​​​​​

প্রশ্ন 18.

1μF ধারকত্বের কোন ধারক 100 V বিশিষ্ট কোন বিদ্যুৎ উৎসের সাথে সংযুক্ত করলে ধারক সঞ্চিত আধান কত কুলম্ব হবে? ​​​​​​​

প্রশ্ন 19.

একটি ন্তরিত পরিবাহীতে 400 C চার্জ প্রদান করায় এর বিভব 100 V হলে, পরিবাহীর ধারকত্ব হবে নিচের কোনটি? ​​​​​​​

প্রশ্ন 20.

একটি পরিবাহকের ধারকত্ব 40 F . এতে কত চার্জ প্রদান করলে এর বিভব 5 V হবে? ​​​​​​​

প্রশ্ন 21.

4μF এবং 8μF দুটি ধারককে 100 V ব্যাটারীর সাথে সমান্তরালে যুক্ত করা হল এক ঘন্টা পর ধারক দুটিতে যথাক্রমে কত কুলম্ব চার্জ জমা হবে? ​​​​​​​

প্রশ্ন 22.

1000V ব্যাটারির দুই প্রান্তে একটি ধারক যুক্ত করায় ধারকে 50 J শক্তি সঞ্চিত হলো ধারকে সঞ্চিত চার্জের পরিমাণ কত? ​​​​​​​

প্রশ্ন 23.

একটি বিচ্ছিন্ন সমান্তরাল পাত ধরকের পাতদ্বয়ের মধ্যবর্তী দূরত্ব দ্বিগুণ করার লে ধারকের সঞ্চিত শক্তির কি পরিবর্তন হয়? ​​​​​​​

প্রশ্ন 24.

একটি ধারকের দুই পাতের মধ্যে বিভব পার্থক্য V এবং ধারকের সঞ্চিত শক্তি

  1. ধারকের বিভব পার্থক্য বৃদ্ধি করে 3V করা হলে সঞ্চিত শক্তি বৃদ্ধি পেয়ে কত হবে?
প্রশ্ন 25.

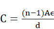
বহুপাত ধারকে n সংখ্যক পাত থাকলে তার ধারকত্ব কত? ​​​​​​​

প্রশ্ন 26.

1.2 তড়িৎ মাধ্যমাঙ্ক বিশিষ্ট 12 cm ব্যাসার্ধের একটি গোলাকার ধাতব পরিবাহীর ধারকত্ব হচ্ছে- ​​​​​​​

প্রশ্ন 27.

বায়ুপূর্ণ সমান্তরাল পাত ধারকের ধারকত্ব 1pF পাতের মধ্যবর্ত দূরত্ব দ্বিগুণ করে পাত দুটির মধ্যবর্তী স্থান সম্পূর্ণরূপে মোম পরামাধ্যম দিয়ে পূর্ণ করা হলফলে ধারকত্ব 2pF হয় মোমের ডাইইলেকট্রিক ধ্রুবক হল- ​​​​​​​

প্রশ্ন 28.

একটি সমান্তরাল পাত ধারকের প্রতিটি পাতের পৃষ্ঠক্ষেত্রফল  এবং বায়ু মাধ্যমে পাতদ্বয়ের মধ্যবর্তী দূরত্ব 3cm ইহার ধারকত্ব निর্ণয় কর ​​​​​​​

প্রশ্ন 29.

সমান্তরাল পাত ধারকের দুই পাতের মধ্যে ডাই-ইলেকট্রিক দ্বারা পূর্ণ করায় ধারকত্ব 5μF থেকে বেড়ে 60μF হয় ডাই-ইলেকট্রিকের ডাই-ইলেকট্রিক (পরাবৈদ্যুতিক) ধ্রুবকের মান হবে-

প্রশ্ন 30.

ধারকে সঞ্চিত শক্তির ক্ষেত্রে নিচের কোনটি সঠিক? ​​​​​​​

প্রশ্ন 31.

একটি বিন্দু থেকে একটি সরলরেখায় প্রতি 1 m পর পর অসীম সংখ্যক 1C চার্জ রাখা হলে বিন্দুতে তড়িৎ প্রাবল্য কত N/C?​​​​​​​

মোট প্রশ্ন: 31
Exam System