Dynamics Career - বাংলাদেশে ক্যারিয়ার, চাকরি ও শিক্ষা বিষয়ক সর্বশেষ তথ্য

পরীক্ষা: পদার্থবিজ্ঞান ২য় পত্র- ২য় অধ্যায় -পরীক্ষা-০৪

প্রশ্ন 1.

চার্জের কোয়ান্টায়ন অনুসারে একটি চার্জিত বস্তুতে চার্জের পরিমাণ নিচের কোনটি হতে পারে না? ​​​​​​​

প্রশ্ন 2.

আধানের কোয়ান্টায়ন অনুসারে কোনো বস্তুতে নিচের কোন চার্জটি থাকা ম্ভব? [ইলেক্ট্রনের চার্জ  ] ​​​​​​​

প্রশ্ন 3.

নিচের কোন পদার্থের পরাবৈদ্যুতিক ধ্রুবকের মান সর্বোচ্চ? ​​​​​​​

প্রশ্ন 4.

পরাবৈদ্যুতিক ধ্রুবকের একক কোনটি? ​​​​​​​

প্রশ্ন 5.

তড়িৎ প্রবেশাতার S.I একক হলো-​​​​​​​

 

প্রশ্ন 6.

মাধ্যমের ভেদনযোগ্যতার (  ) একক নিচের কোনটি? ​​​​​​​

প্রশ্ন 7.

পরাবৈদ্যুতিক ধ্রুবক হলো-

  1. iii.

    নিচের কোনটি সঠিক? ​​​​​​​

প্রশ্ন 8.

একটি নির্দিষ্ট ধারকের সঞ্চিত শক্তি 36 গূণ করতে হলে এর আধান কত গূণ করতে হবে?​​​​​​​

প্রশ্ন 9.

বেতার যন্ত্রে টিউনের কাজে ব্যবস্থত হয় কোনটি?​​​​​​​

প্রশ্ন 10.

C ধারকত্ববিসিষ্ট n সংখ্যক পানির ফোঁটা মিলিত হয়ে একটি বড় ফোঁটা তৈরি করে বড় ফোঁটার ধারকত্ব কত?

প্রশ্ন 11.

নিচের বর্তনীর মোট আধান কত?

 

প্রশ্ন 12.

 চিত্রের P বিন্দুতে শূন্য মাধ্যমে তড়িৎ প্রাবল্য কত? ​​​​​​​

প্রশ্ন 13.

সমান  ধারকত্বের তিনটি ধারক প্রথমে শ্রেণিতে এবং পরে সমাররালে যুক্ত করা হলো এই দু'ক্ষেত্রের তুল্য ধারকত্বের অনুপাত কত হবে?​​​​​​​

প্রশ্ন 14.

সমান  ধারকত্বের তিনটি ধারক প্রথমে শ্রেণিতে এবং পরে সমাররালে যুক্ত করা হলো এই দু'ক্ষেত্রের তুল্য ধারকত্বের অনুপাত কত হবে?​​​​​​​

প্রশ্ন 15.

ধারকত্বের একক নিচের কোনটি?​​​​​​​

প্রশ্ন 16.

দুইটি সমান ধারকত্বের ধারককে প্রথমে শ্রেণিতে পরে সমাররালে 'যুস্ত করলে তুল্য ধারকতের অনুপাত কত?​​​​​​​

প্রশ্ন 17.

সমান্তরাল পাত ধারক-এর ধারকত্ব কোন কোন বিষয়ের উপর নির্ভর করে?

  1. মাধ্যমের প্রকৃতির উপর
  2. প্রত্যেক পাতের ক্ষেত্রফল

iii. পাতদ্বয়ের মধ্যবর্তী দূরত্ব

নিচের কোনটি সঠিক? ​​​​​​​

প্রশ্ন 18.

উপরে প্রদত্ত র্তনীর তুল্য ধারকত্ব কত?​​​​​​​

প্রশ্ন 19.

একটি সমান্তরাল পাত ধারকের প্রযুক্ত ভোল্টেজ স্থির রেখে পাত দুটির ব্যবধান 25% কমানো হলে ধারকে ঞ্চিত শক্তির শতকরা কত পরিবর্তন হবে? ​​​​​​​

প্রশ্ন 20.

কোনো গোলাকার পরিবারীর ধারকত্ব IF হলে এর ব্যালার্ব হবে-​​​​​​​

প্রশ্ন 21.

চিত্রের প্রতিটি ধারকের ধারকত্ব 3μF  A B বিন্দুর মধ্যে কার্যক্ত ধারকত্ব হবে-

​​​​​​​

 

 
   
প্রশ্ন 22.

গোলাকার পরিবারীর ধারকত্ব উহার ব্যাসার্ধের- ​​​​​​​

প্রশ্ন 23.

100 cm ব্যসার্ধবিশিষ্ট একটি গোলাকার পরিবারীর পৃষ্ঠে  কুলম্ব চার্জ প্রদান করা হলো গোলকের কেন্দ্র থেকে 25 cm দূরে তড়িৎ বিভব হবে- ​​​​​​​

প্রশ্ন 24.

উপরের চিত্রে A B বিন্দুর মধ্যে তুল্য ধারকত্ব কত? ​​​​​​​

প্রশ্ন 25.

একটি ধারকের দুই পাত্রের মধ্যে বিভব পার্থক্য 150 V ধারকে সক্কিত শক্তি   ধারকের ধারকত্ব কত? ​​​​​​​

প্রশ্ন 26.

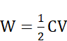
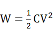
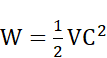
ধারকে ঞ্চিত শক্তির ক্ষেত্রে নিচের কোনটি সঠিক?

 

প্রশ্ন 27.

চিত্রের XY এর মধ্যকার তুল্য ধারকত্ব কত? ​​​​​​​

প্রশ্ন 28.

গোলাকার পরিবাহীর ধারকত্ব বনাম ব্যাসার্ধ লেখচিত্রের গ্রেডিয়েন্ট (নতি) হবে- ​​​​​​​

প্রশ্ন 29.

  ​​​​​​​

 

সংযোগটির মোট ধারকত্ কত? ​​​​​​​

প্রশ্ন 30.

একটি সমান্তরাল পাত ধারকের প্রতিটি পাতের ক্ষেত্রফল   পাতদ্বয়ের মধ্যবর্তী দূরত্  এবং বিভব পার্থক্য 60 V ধারকের একক আয়তনে ঞ্চিত বিভব শক্তি কত জুল? ​​​​​​​

মোট প্রশ্ন: 30
Exam System