Dynamics Career - বাংলাদেশে ক্যারিয়ার, চাকরি ও শিক্ষা বিষয়ক সর্বশেষ তথ্য

পরীক্ষা: পদার্থবিজ্ঞান ২য় পত্র- ২য় অধ্যায় -পরীক্ষা-০৩

প্রশ্ন 1.

উদ্দীপকের বর্গক্ষেত্রের কেন্দ্র 0 তে বিভবের মান শূন্য হতে হলে চতুর্থ কৌণিক বিন্দু D তে কত চার্জ স্থাপন করতে হবে?

প্রশ্ন 2.

একই ব্যাসার্ধের একটি ফাঁপা একটি নিরেট গোলক উভয়কে একই বিভবে চার্জিত করলে নিম্নের কোনটি প্রযোজ্য হবে? ​​​​​​​

প্রশ্ন 3.

একটি বর্গক্ষেত্রের শীর্ষবিন্দুতে চারটি বিন্দু আধান আছে যাদের মান যথাক্রমে  এবং  এর মধ্যে নিচের কোন সম্পর্কের জন্য বর্গক্ষেত্রের কেন্দ্রে বিভব শূন্য হবে? ​​​​​​​

প্রশ্ন 4.

চিত্রে ABC ত্রিভুজের AB=AC=2BD=2CD এবং   বিন্দুর বিভব যথাক্রমে  এবং  

নিচের কোনটি সঠিক? ​​​​​​​

প্রশ্ন 5.

তড়িৎ বিভবের মাত্রা- ​​​​​​​

প্রশ্ন 6.

5 সে. মি. ব্যাসার্ধের চার্জিত ফাঁপা গোলকের পৃষ্ঠে বিভব 10 V হলে কেন্দ্রে বিভব হবে- ​​​​​​​

প্রশ্ন 7.

 

 চিত্রে বর্গক্ষেত্রের 8র্থ কৌণিক বিন্দুতে কত চার্জ স্থাপন করলে কেন্দ্রে বিভব শূন্য হবে? ​​​​​​​

প্রশ্ন 8.

তড়িৎ ক্ষেত্রের কোনো বিন্দুর বিভব হচ্ছে- ​​​​​​​

প্রশ্ন 9.

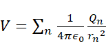
পার্শ্বের চিত্রানুযায়ী

 'O' বিন্দুতে তড়িৎ বিভব​​​​​​​

 নির্নয়ের সমীকরণ কোনটি?

[যেখানে =1,2,3 ]

প্রশ্ন 10.

চিত্র অনুযায়ী তিনটি ভিন্ন পথে একটি একক ধনাত্মক আধান  থেকে  তে যেতে যদি ,  ও  কাজ সম্পন্ন করে, যখন বিভব  তবে, নিচের কোনটি সঠিক?

প্রশ্ন 11.

 

B বিন্দুতে কত চার্জ স্থাপন করলে D বিন্দুতে মোট তড়িৎ বিভব শূন্য হবে?

প্রশ্ন 12.

 প্রাবল্যের সুষম তড়িৎক্ষেত্রে অবস্থিত দুটি বিন্দুর দূরত্ব 10 cm হলে, এদের বিভব পার্থক্য কত? ​​​​​​​

প্রশ্ন 13.

100 C চার্জ কে 0.5 m দুরে তড়িৎ বিভব কত? ​​​​​​​

প্রশ্ন 14.

 তড়িৎ ক্ষেত্রের কোনো বিন্দুর বিভবের মান নির্ভর করে-

  1. চার্জের পরিমানের উপর
  2. বিন্দু থেকে দুরতের উপর

 iii. মাধ্যামের প্রকৃতির উপর

নিচের কোনটি সঠিক?

প্রশ্ন 15.

চিত্রের গোলাকার পরিবাহীটি +Q চার্জে চার্জিক-

  1.  
  2.  

iii.

নিচের কোনটি সঠিক? ​​​​​​​

প্রশ্ন 16.

 একটি চার্জিত গোলাকার পরিবাহীর-

  1. অভ্যন্তরে প্রাবল্য শূন্য
  2. অভ্যন্তরে বিভব শূন্য

 iii. পৃষ্ঠের সকল বিন্দুর বিভব সমান

নিচের কোনটি সঠিক? ​​​​​​​

প্রশ্ন 17.

গোলকের অভারুরে তড়িৎ প্রাবল্য কত? ​​​​​​​

প্রশ্ন 18.

 তড়িৎ বলরেখা সমবিভব তলকে ছেদ করে-

প্রশ্ন 19.

চিত্র অনুযায়ী সমবিভব বিন্দুগুলো হলো -

প্রশ্ন 20.

সমবিভব তল তড়িৎ ক্ষেত্রের মধ্যবর্তী কোণ কত ডিগ্রি?​​​​​​​

প্রশ্ন 21.

সমবিভব তলের বৈশিষ্ট হলো-

  1. দুটি সমবিভব তল কখনো পরস্পরকে ছেদ করে না
  2. সমবিভব তলে আধানগুলো গতিশীল থাকে

 iii. সমবিভব তলকে তড়িৎ বল রেখাগুলো সমকোণে ছেদ করে

 নিচের কোনটি সঠিক? ​​​​​​​​​​​​​​

প্রশ্ন 22.

সমবিভবতলে দুটি বিন্দুর-

  1. তড়িৎ প্রাবল্য সমান
  2. বিভব পার্থক্য শূন্য

iii. শক্তির পরিমাণ সমান

নিচের কোনটি সঠিক?​​​​​​​

প্রশ্ন 23.

তড়িৎ দ্বিমেরু ভ্রামকের মাত্রা কোনটি? ​​​​​​​

প্রশ্ন 24.

একটি তড়িৎ দ্বিমেরুর ক্ষেত্রে তড়িৎ বিভবের মান দূরত্বের ( r ) সাথে কীভাবে পরিবর্তিত হয়? ​​​​​​​

প্রশ্ন 25.

তড়িৎ দ্বিমেরু ভ্রামকের একক নিচের কোনটি?​​​​​​​

প্রশ্ন 26.

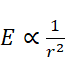
একটি তড়িৎ দ্বিমেরুর ক্ষেত্রে দূরত্বের সাথে তড়িৎ প্রাবাল্য কীরূপ সম্পর্কিত? ​​​​​​​

প্রশ্ন 27.

একটি দ্বিপোলের জন্য তড়িৎপ্রাবল্য নিম্নরূপে পরিবর্তিত হয়- ​​​​​​​

প্রশ্ন 28.

কোনো বস্তুতে নিচের কোন আধানটি পাওয়া ম্ভ নয়? ​​​​​​​

প্রশ্ন 29.

নিম্নের কোনটি চার্জের মান হতে পারে না? ​​​​​​​

প্রশ্ন 30.

নিম্নের কোনটি কাচের ডাই ইলেকট্রিক ধ্রুবক? ​​​​​​​

মোট প্রশ্ন: 30
Exam System