প্রশ্ন ও উত্তর দেখুন

পূর্ণ প্রশ্ন

পূর্ণমান: 10
বিষয়: তথ্য ও যোগাযোগ প্রযুক্তি অধ্যায়: তৃতীয় শ্রেণি: HSC বোর্ড: আলিম পরীক্ষা সাল: ২০২৫

 

প্রশ্ন ১৮।  আলিম পরীক্ষা ২০২৫

দৃশ্যকল্প-০১: একটি মাদ্রাসার শিক্ষক এবং কর্মচারীর সংখ্যা যথাক্রমে ও  জন

দৃশ্যকল্প-০২:


​​​​​​​. সংখ্যা পদ্ধতি কাকে বলে?​​​​​​​

. ‘‘পজিশনাল সংখ্যা পদ্ধতি যে কোন সংখ্যা প্রকাশের উপযোগী" - ব্যাখ্যা কর

. শিক্ষক এবং কর্মচারীর মোট সংখ্যা ডেসিমেলে প্রকাশ কর

. দৃশ্যকল্প-০২ এর প্রদত্ত সংখ্যাগুলো বিশ্লেষণ করে কোনটি বড় তা প্রমাণ কর

উত্তর

সমাধান

১৮। নং প্রশ্নের উত্তর :

() বিভিন্ন সাংকেতিক চিহ্ন বা প্রতীক ব্যবহার করে সংখ্যাকে গণনা প্রকাশ করার পদ্ধতিকে সংখ্যা পদ্ধতি বলে

(খ)  যে সংখ্যা পদ্ধতিকে প্রকাশ করার জন্য সংখ্যার মান অবস্থানের ওপর ভিত্তি করে নির্ণিত হয় তাকে পজিশনাল সংখ্যা পদ্ধতি বলা হয় পজিশনাল সংখ্যা পদ্ধতিতে সংখ্যার মানে ব্যবহৃত অংক বা প্রতীকের মান অবস্থান এবং সংখ্যা পদ্ধতির বেজের উপর নির্ভরশীল তাই পদ্ধতির যেকোনো সংখ্যা প্রকাশ করা যায় এবং সংখ্যার বিভিন্ন প্রক্রিয়াকরণও করা যায়

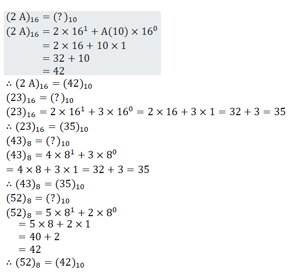
​​​​​​​

 

শিক্ষক কর্মচারীর মোট সংখ্যা ডেসিমেল (88)10

(ঘ)  দৃশ্যকল্প- চারটি সংখ্যা দেওয়া আছে সংখ্যাগুলো বিশ্লেষণ করে অর্থাৎ প্রচলিত সংখ্যা বা দশমিকে মান নিয়ে সংখ্যাগুলোর মধ্যে কোনটি বড় নিচে দেখানো হলো :

 সংখ্যাগুলো থেকে দেখা যাচ্ছে, সবচেয়ে বড় সংখ্যা   এবং   যাদের মান প্রচলিত সংখ্যায় (42) 

রিঅ্যাকশন

পছন্দ প্রকাশ করুন

শেয়ার করুন

WhatsApp / Facebook

কমেন্ট

মতামত লিখুন
📥 Word