প্রশ্ন ও উত্তর দেখুন

পূর্ণ প্রশ্ন

পূর্ণমান: 10
বিষয়: তথ্য ও যোগাযোগ প্রযুক্তি অধ্যায়: তৃতীয় শ্রেণি: HSC বোর্ড: ময়মনসিংহ বোর্ড সাল: ২০২৫

 ১৭  ময়মনসিংহ বোর্ড ২০২৫
​​​​​​​

  

. বুলিয়ান পূরক কী?

. 2 থেকে 4 লাইন ডিকোডার ব্যাখ্যা কর

. উদ্দীপকে প্রদত্ত লজিক ফাংশনটির সত্যক সারণি তৈরি কর

. শুধু NOR Gate দিয়ে উদ্দীপকে প্রদত্ত ফাংশনটির সরণীকৃত মানবাস্তবায়ন করে দেখাও

উত্তর

সমাধান

১৭ । নং প্রশ্নের উত্তর :

(ক) বুলিয়ান অ্যালজেবরায় যেকোনো চলকের মান 0 বা 1 হতে পারে 0 এবং 1 কে একটি অপরটির বুলিয়ান পুরক বলা হয়

(খ)  2 থেকে 4 ডিকোডারে দুটি ইনপুট লাইন থেকে চারটি আউটপুট লাইনের যে কোনো একটিতে 1 পাওয়া যায় আউটপুট লাইনের যে কোনো একটিতে 1 এবং বাকি সবকয়টিতে 0 আউটপুট পাওয়া যায় তবে কোন আউটপুট লাইনে 1 হবে, তা নির্ভর করে ইনপুটগুলোর মানের ওপর

(গ)  উদ্দীপকে প্রদত্ত ফাংশনটি হলো,

 

ফাংশনটির সত্যক সারণি নিম্নরূপ-

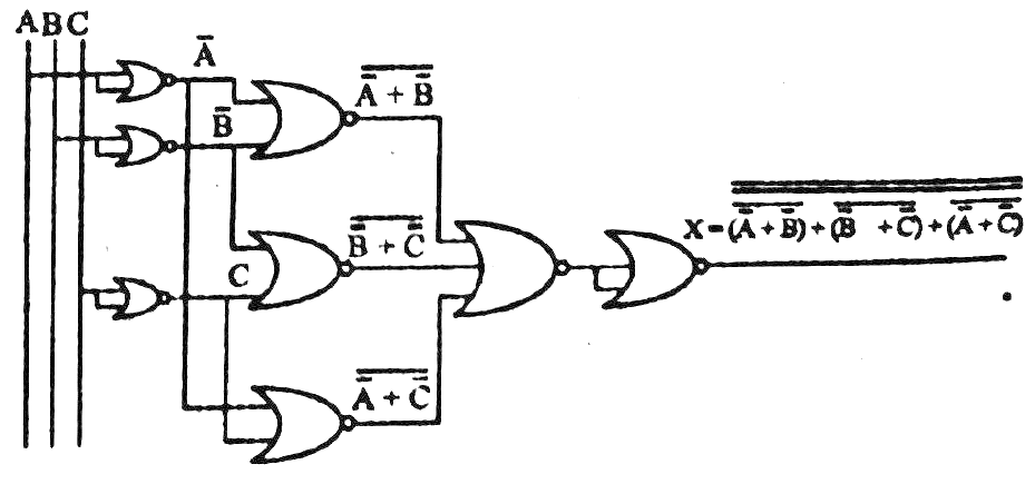
(ঘ)  উদ্দীপকের প্রদত্ত ফাংশনটির সরলীকৃত মান শুধু NOR Gate দিয়ে নিচে বাস্তবায়ন করে দেখানো হলো-

 

 

 

রিঅ্যাকশন

পছন্দ প্রকাশ করুন

শেয়ার করুন

WhatsApp / Facebook

কমেন্ট

মতামত লিখুন
📥 Word